本文主要是介绍向量的内积(点乘)与外积(叉乘),希望对大家解决编程问题提供一定的参考价值,需要的开发者们随着小编来一起学习吧!
向量的内积(点乘)与外积(叉乘)
向量的内积=点乘
向量的外积=叉乘
向量的内积(点乘)

内积的几何意义:
- 用来表征或计算两个向量之间的夹角
- 在b向量在a向量方向上的投影。
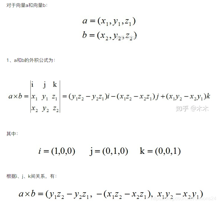
向量的外积(叉乘)
两个向量的外积,又叫向量积、叉乘等。外积的运算结果是一个向量。并且两个向量的叉积与这两个向量组成的坐标平面垂直(右手定理)

叉乘的几何意义:
向量a和向量b的叉乘结果是一个向量,更为熟知的叫法是法向量,该向量垂直于a和b向量构成的平面。
这篇关于向量的内积(点乘)与外积(叉乘)的文章就介绍到这儿,希望我们推荐的文章对编程师们有所帮助!