本文主要是介绍一句话解释什么是马尔科夫链(Markov Chain),希望对大家解决编程问题提供一定的参考价值,需要的开发者们随着小编来一起学习吧!
概念
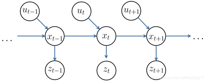
马尔科夫链:使用有向图表示 x_t 状态(如相机位姿)、u_t 运动控制量、z_t 观测值(如图像像素值)的之间的关系的链式图。
在该图中,当前观测值
只跟当前状态
有关;
![]()
当前状态
只跟前一时刻的状态
和当前的运动控制量
有关。
![]()
图示

这篇关于一句话解释什么是马尔科夫链(Markov Chain)的文章就介绍到这儿,希望我们推荐的文章对编程师们有所帮助!