本文主要是介绍考研数学线上笔记(六):凯哥微分方程、多元微分、无穷级数概念选择题系列课程,希望对大家解决编程问题提供一定的参考价值,需要的开发者们随着小编来一起学习吧!
目录
- 微分方程
- 一阶线性微分方程
- 一阶微分方程可以用“齐次通解+非齐次特解”;非齐次的两个解的差乘上C即为齐次的通解
- 任意常数个数和阶数相同-->非齐次前的系数之和满足1(非齐次)或0(齐次)-->解的组合是非齐次或齐次的解
- 上述结论的前提是解不成比例(即线性无关)
- 高阶齐次线性的解法---利用e^λx^特征根是λ求出等号左边,非齐次的特解代入求出等号右边
- 已知方程,求通解
- 已知通解,反求方程
- 非齐次的两个解的差乘上C即为齐次的通解,齐次的通解+另一个非齐次的特解即为该
- 二阶非齐次的特解求解
- 两边取极限、两边取积分
- 几个杂题
- 多元函数微分学
- 概念性质
- 几个概念的强弱关系
- 利用定义进行全微分(偏导)计算,选择题可以把x、y的系数的相反数作为偏导数直接秒
- 二阶混合偏导数(即先y后x与先x后y)相等
- 无条件极值
- 条件极值(拉格朗日乘数法)
- 脱帽法的应用
- 隐函数存在定理
- 常数项级数
- 常见结论
- 比较判别法适用于正项级数(不变号级数)
- a~n~+a~n+1~、a~2n-1~+a~2n~算是加括号;a~2n-1~-a~2n~加括号实际进行了一次交错,可能把本身交错变回去
- 偶数次方同时进行了正数化和提阶,无法判断敛散性
- 加了括号收敛的级数,若为正项级数,则原单项的级数也收敛
- 条件收料即本身收敛,加绝对值后发散
- 已知敛散性推不出阶数,阶数也不可以判断敛散性;莱布尼茨判别法需要同时满足递减和趋于0
- 正数项级数,单纯是1/n的高阶无穷小,仍然推不出收敛,只有当就是1/n^p^,p>1才能断定收敛;
- 1/n无法作为判别级数收敛的依据;1/nln(n)是发散的(积分判别法),常作为反例;ln(n)/n^p^,只要p>1就收敛
- 不要把数列的平方和级数的平方搞混
- 幂级数
- 常用展开式
- 利用展开式求函数
- 假装先积后导再直接套公式出结果
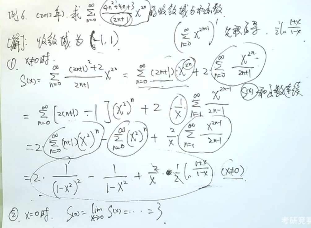
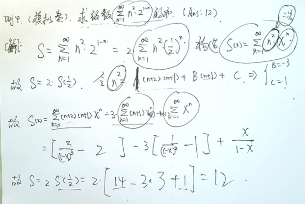
- 常数项级数可以转化为幂级数和函数在某点的取值
微分方程
一阶线性微分方程
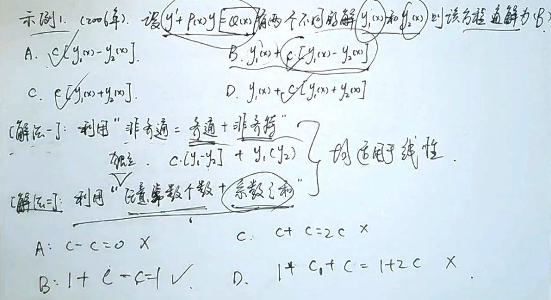
一阶微分方程可以用“齐次通解+非齐次特解”;非齐次的两个解的差乘上C即为齐次的通解

任意常数个数和阶数相同–>非齐次前的系数之和满足1(非齐次)或0(齐次)–>解的组合是非齐次或齐次的解

上述结论的前提是解不成比例(即线性无关)

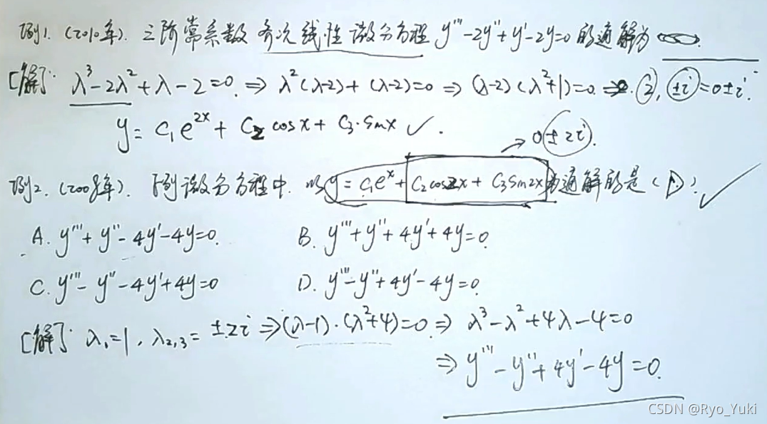
高阶齐次线性的解法—利用eλx特征根是λ求出等号左边,非齐次的特解代入求出等号右边

已知方程,求通解

已知通解,反求方程


非齐次的两个解的差乘上C即为齐次的通解,齐次的通解+另一个非齐次的特解即为该

二阶非齐次的特解求解

两边取极限、两边取积分


几个杂题


多元函数微分学
概念性质
几个概念的强弱关系
一阶偏导连续最强,可微次之
单纯的可偏导推不出任何结论,可偏导和连续没有任何关系

一阶偏导要求是二元极限等于该点的偏导值

AB单纯的偏导无法推连续和极限,C单纯的偏导推不出可微,需要加可微的条件才成立


C选项

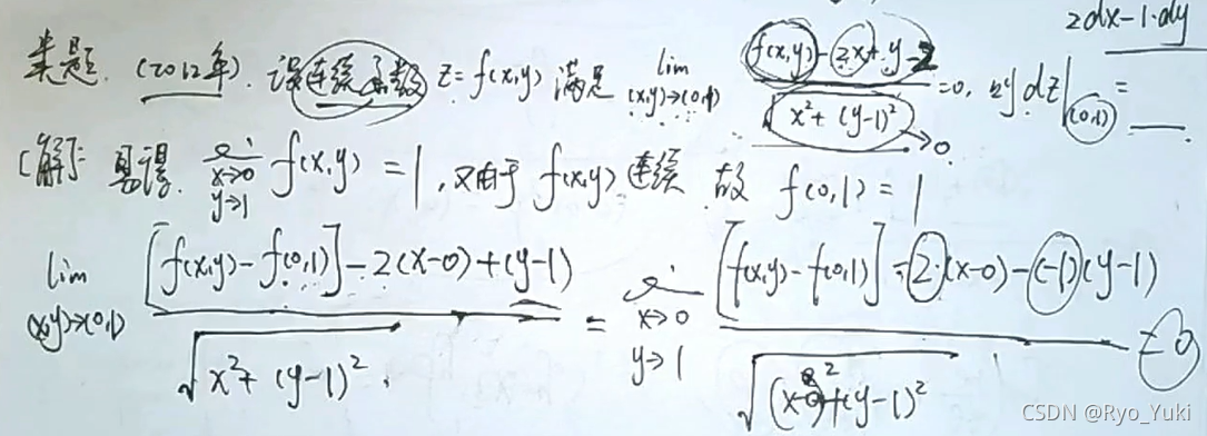
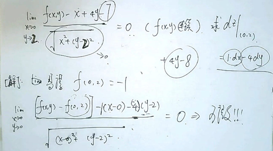
利用定义进行全微分(偏导)计算,选择题可以把x、y的系数的相反数作为偏导数直接秒



二阶混合偏导数(即先y后x与先x后y)相等

无条件极值
A是x的二阶偏导,C是y的二阶偏导,B是先x后y的二阶偏导


条件极值(拉格朗日乘数法)

脱帽法的应用




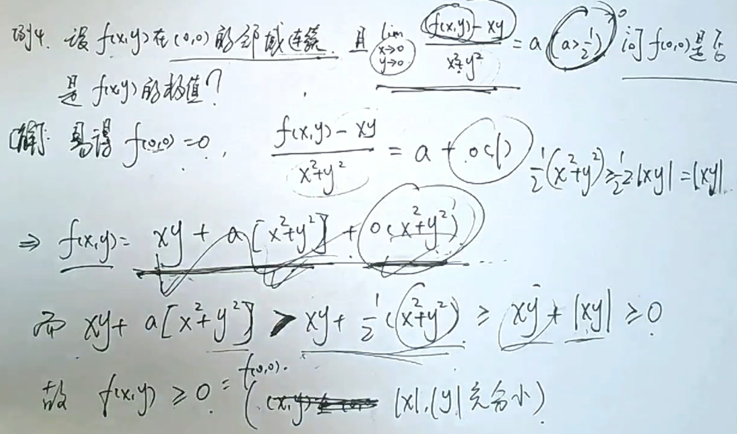
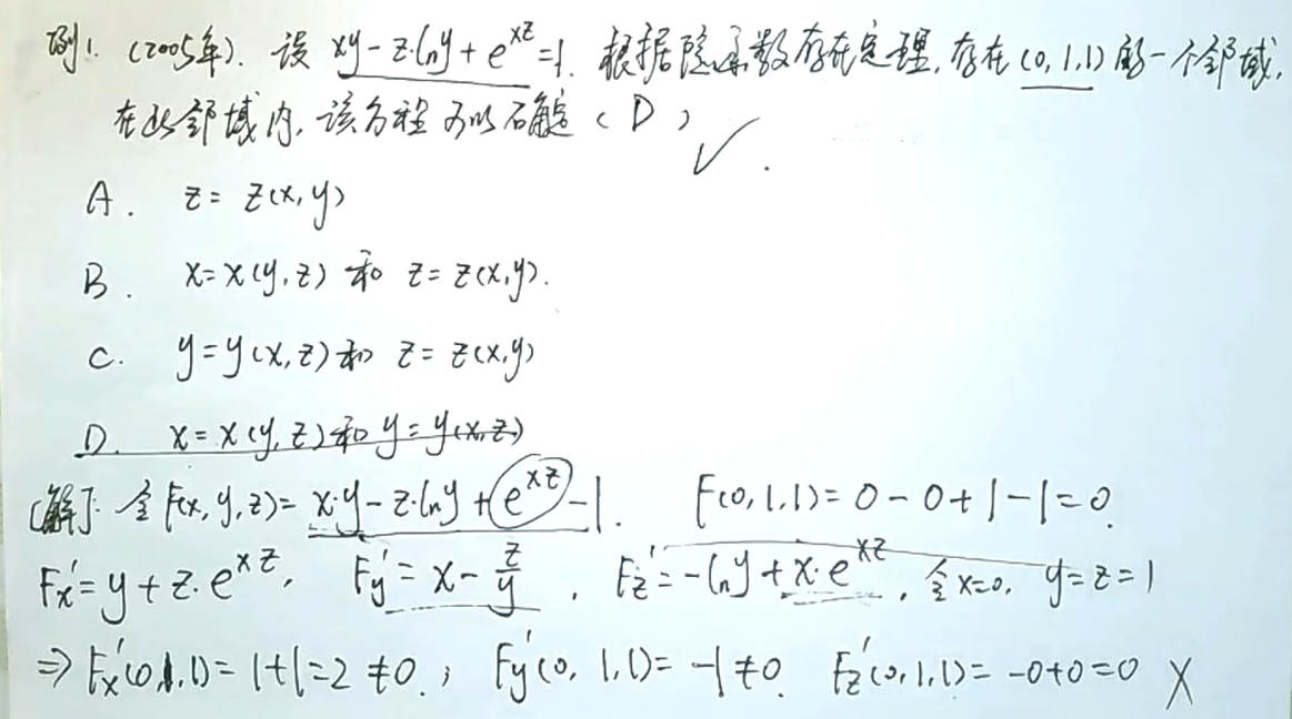
隐函数存在定理

常数项级数
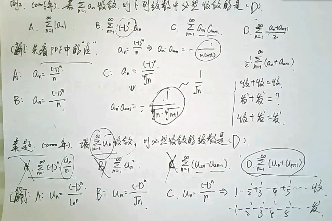
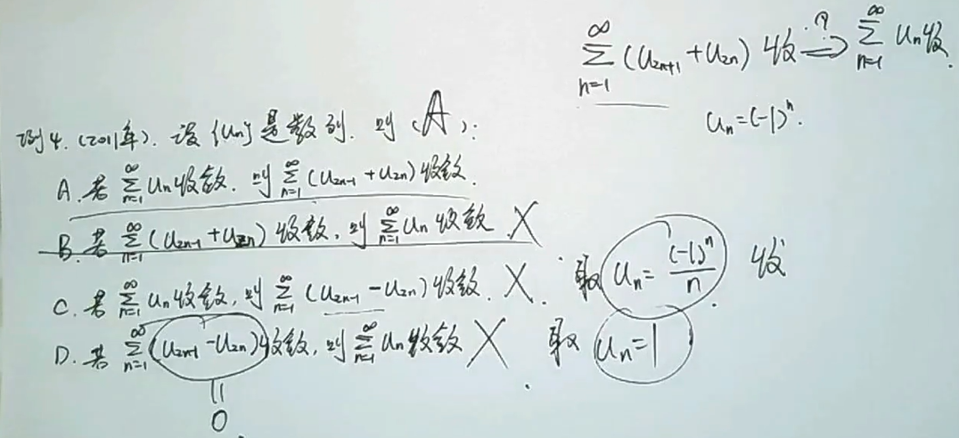
常见结论
收+收=收、收+发=发、发+发=?
正项级数大收敛推小收敛,小发散推大发散;
加绝对值,提高发散性;
改为交错级数,提高收敛性;
本身就是交错级数再交错、交错级数相乘,提高发散性;
提高一般项的阶数,提高收敛性;
非正项级数加括号,提高收敛性,正项级数加了也白加;(a2n+a2n+1算加括号,减号、an+an+1不算)
交错和提阶同时进行时,无法判断敛散性;
进行偶数次方时,同时进行了正数化和提阶,无法判断敛散性;


反例

比较判别法适用于正项级数(不变号级数)

an+an+1、a2n-1+a2n算是加括号;a2n-1-a2n加括号实际进行了一次交错,可能把本身交错变回去


偶数次方同时进行了正数化和提阶,无法判断敛散性

加了括号收敛的级数,若为正项级数,则原单项的级数也收敛

条件收料即本身收敛,加绝对值后发散

已知敛散性推不出阶数,阶数也不可以判断敛散性;莱布尼茨判别法需要同时满足递减和趋于0

正数项级数,单纯是1/n的高阶无穷小,仍然推不出收敛,只有当就是1/np,p>1才能断定收敛;

1/n无法作为判别级数收敛的依据;1/nln(n)是发散的(积分判别法),常作为反例;ln(n)/np,只要p>1就收敛

不要把数列的平方和级数的平方搞混

幂级数
常用展开式

利用展开式求函数



假装先积后导再直接套公式出结果

常数项级数可以转化为幂级数和函数在某点的取值

这篇关于考研数学线上笔记(六):凯哥微分方程、多元微分、无穷级数概念选择题系列课程的文章就介绍到这儿,希望我们推荐的文章对编程师们有所帮助!