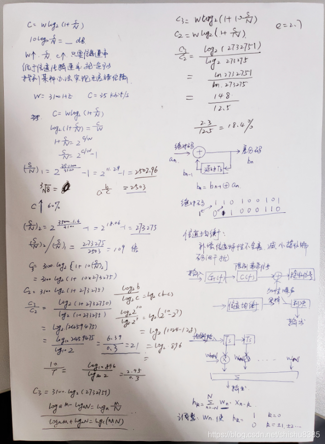
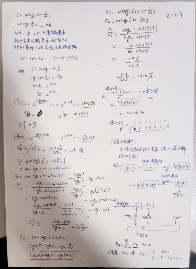
本文主要是介绍平时计算过程的一些验算,涉及均衡,傅里叶变换性质,线性分组码等,希望对大家解决编程问题提供一定的参考价值,需要的开发者们随着小编来一起学习吧!
这是平时的一些计算的过程。供以后查询参考。












1、欢迎大家关注我的微信公众号: xiaoshi_IC,小石谈IC;
2、2018年4月建号以来,已陆续完成了PCB系列的培训视频的更新,相关PCB设计原创文章的撰写,主要基于Cadence Allegro PCB Design GXL和OrCAD Capture CIS,版本号16.6,基本覆盖了从原理图设计(OrCAD Capture CIS),到出网表(Netlist),以及PCB设计(Allegro PCB Design GXL)的全流程,其中有FPC封装设计培训视频,BGA扇出,区域规则设置,等;
3、2019年计划,目前在持续更新通信原理,以及verilog数字设计部分(目前针对Xilinx FPGA),主要针对通信系统数字设计,软件无线电设计;
4、未来计划:逐步完成 IC版图,信号完整性,IC设计,IC后端,这些是作者很感兴趣的部分,未来会不定期更新,也期望有爱好者共同交流;
5、期望和定位:做开源的、有价值的微电子,电子类公众分享,坚持至少一周一更(目前比较频繁),专注软件无线电,通信算法和工程实现,数字系统设计,不定期放出视频,与大家交流,共同提高,欢迎大家持久关注,订阅,分享,点赞;
6、B站主页:https://space.bilibili.com/382038930
知乎主页:https://www.zhihu.com/people/shishu8385
CSDN主页:https://blog.csdn.net/shishu8385
Youtube频道:https://www.youtube.com/user/shishu8385
GitHub主页:https://github.com/shishu8385
这篇关于平时计算过程的一些验算,涉及均衡,傅里叶变换性质,线性分组码等的文章就介绍到这儿,希望我们推荐的文章对编程师们有所帮助!