本文主要是介绍ggplot 中的分面去掉小标题的灰色底色,希望对大家解决编程问题提供一定的参考价值,需要的开发者们随着小编来一起学习吧!
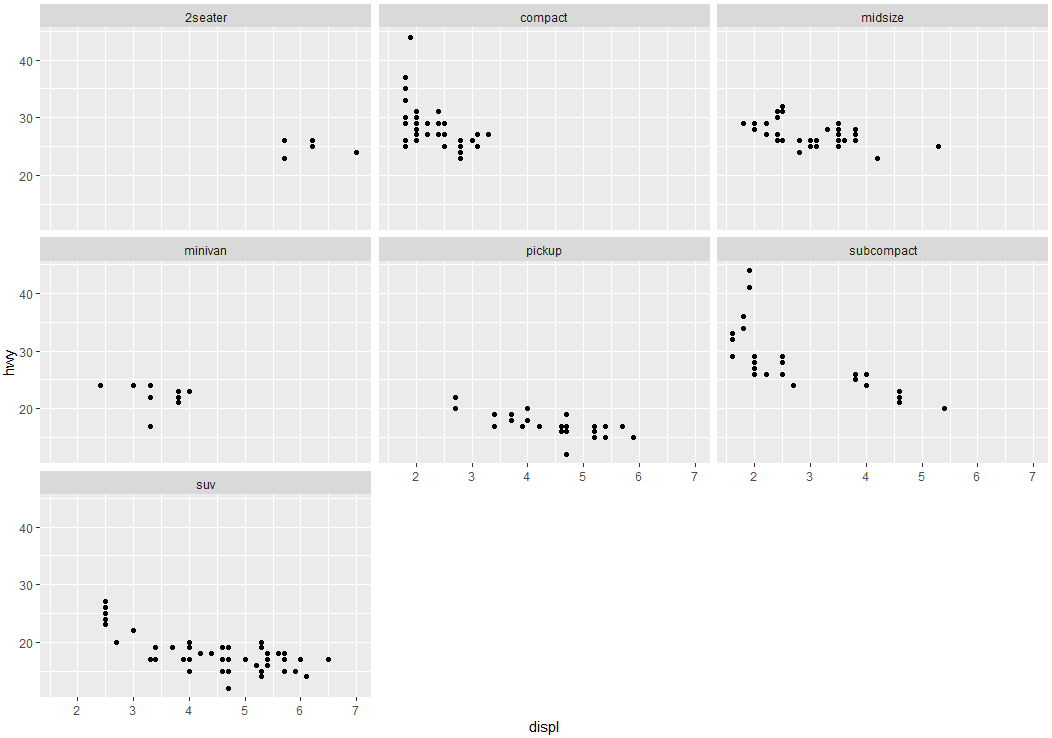
当我们在使用 ggplot 时,使用分面通常会长下面这样(这里用 ggplot 的官方案例):
p <- ggplot(mpg, aes(displ, hwy)) + geom_point()
p + facet_wrap(~class)

此时,我们想将背景的灰色底色去掉,可以用我们常用的 theme_bw():
p + facet_wrap(~class) + theme_bw()

此时如果背景的灰色网格不想要了,可以接着添加 theme(panel.grid = element_blank()):
p + facet_wrap(~class) + theme_bw() +theme(panel.grid = element_blank())

但此时我们是想纯白的背景,子标题中的灰色背景与标题边框也不需要了,此时可以在 theme() 函数中添加 element_rect(),内部的参数 color = "white" 表示 子标题的周围边框变为白色;fill = "white" 表示子标题的灰色背景变为白色:
p + facet_wrap(~class) + theme_bw() +theme(strip.background = element_rect(color = "white", fill = "white"),panel.grid = element_blank())

这样看起来还是挺丑的,如果把每个画幅的一圈黑色边框去掉就更好了,此时可以添加 panel.border = element_blank():
p + facet_wrap(~class) + theme_bw() +theme(strip.background = element_rect(color = "white", fill = "white"),panel.grid = element_blank(),panel.border = element_blank())

后面如果大家还想让整个图像变得更加清净,可以参考:ggplot2:初次见面,请多多关照! 里面的 6. 零件打磨 部分。
这篇关于ggplot 中的分面去掉小标题的灰色底色的文章就介绍到这儿,希望我们推荐的文章对编程师们有所帮助!