本文主要是介绍【LeetCode】LCP 2. 分式化简,希望对大家解决编程问题提供一定的参考价值,需要的开发者们随着小编来一起学习吧!
有一个同学在学习分式。他需要将一个连分数化成最简分数,你能帮助他吗?
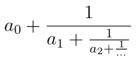
连分数是形如上图的分式。在本题中,所有系数都是大于等于0的整数。

输入的cont代表连分数的系数(cont[0]代表上图的a0,以此类推)。返回一个长度为2的数组[n, m],使得连分数的值等于n / m,且n, m最大公约数为1。
示例 1:
输入:cont = [3, 2, 0, 2]
输出:[13, 4]
解释:原连分数等价于3 + (1 / (2 + (1 / (0 + 1 / 2))))。注意[26, 8], [-13, -4]都不是正确答案。
示例 2:
输入:cont = [0, 0, 3]
输出:[3, 1]
解释:如果答案是整数,令分母为1即可。
限制:
cont[i] >= 0
1 <= cont的长度 <= 10
cont最后一个元素不等于0
答案的n, m的取值都能被32位int整型存下(即不超过2 ^ 31 - 1)。
来源:力扣(LeetCode)
链接:https://leetcode-cn.com/problems/deep-dark-fraction
著作权归领扣网络所有。商业转载请联系官方授权,非商业转载请注明出处。
class Solution {
public:vector<int> fraction(vector<int>& cont) {int up = 1,down = cont[cont.size()-1];for(int i = cont.size()-2;i >= 0;--i){up += cont[i] * down;swap(up,down);} return {down,up};}
};
题目不难 学习大佬的 return{down,up}和 swap(up,down)操作。
还有为啥不用约分 ?因为分子永远是1?
这篇关于【LeetCode】LCP 2. 分式化简的文章就介绍到这儿,希望我们推荐的文章对编程师们有所帮助!