本文主要是介绍【基础储备】Differential Privacy 基础知识储备之 privacy book,希望对大家解决编程问题提供一定的参考价值,需要的开发者们随着小编来一起学习吧!
-
privacy loss 的定义 : the p r i v a c y l o s s privacy \, loss privacyloss incurred by observing ξ \xi ξ is

-
(ε-δ)-差分隐私的复合性质 :

-
加性切诺夫界、乘性切诺夫界 :

-
Azuma不等式 :

-
斯特林公式 :

-
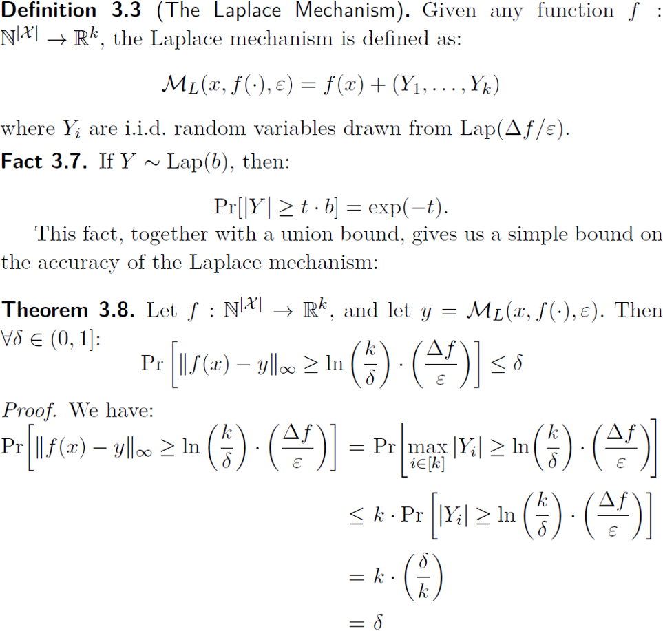
Laplace机制的 bound :

-
utility function :
utility function u : N ∣ X ∣ × R → R u : \mathbb N ^{\vert \mathcal X \vert } × \mathcal R \rightarrow \mathbb R\, u:N∣X∣×R→R, which maps database/output pairs to utility scores.
OPT u ( x ) = _u(x) = u(x)= max r ∈ R u ( x , r ) _{r \in \mathcal R} u(x, r) r∈Ru(x,r) denote the maximum utility score of any element r ∈ R r \in \mathcal R r∈R with respect to database x x x.
-
指数机制的 bound :


-
高斯机制 :

更多详情见 The Gaussian Mechanism.pdf
注:Gaussian Mechanism相较于Laplacian Mechanism有一个理论上的disadvantage,详见 P 53 \mathcal P_{ \mathcal {53} } P53
-
Composition theorems :

-
斯特林公式 :
Reference
C. Dwork and A. Roth. The algorithmic foundations of differential privacy. Foundations and Trends in Theoretical Computer Science, 9(3{4):211{407, 2014.
这篇关于【基础储备】Differential Privacy 基础知识储备之 privacy book的文章就介绍到这儿,希望我们推荐的文章对编程师们有所帮助!