本文主要是介绍线性代数之基础解系与通解的求法,希望对大家解决编程问题提供一定的参考价值,需要的开发者们随着小编来一起学习吧!
线性代数之基础解系与通解的求法
初等变换法
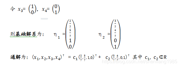
已知如下方程,求解其基础解系和通解。

首先写出系数矩阵A并转换成行简化阶梯型。


总结

这篇关于线性代数之基础解系与通解的求法的文章就介绍到这儿,希望我们推荐的文章对编程师们有所帮助!
本文主要是介绍线性代数之基础解系与通解的求法,希望对大家解决编程问题提供一定的参考价值,需要的开发者们随着小编来一起学习吧!
已知如下方程,求解其基础解系和通解。

首先写出系数矩阵A并转换成行简化阶梯型。



这篇关于线性代数之基础解系与通解的求法的文章就介绍到这儿,希望我们推荐的文章对编程师们有所帮助!
http://www.chinasem.cn/article/438801。
23002807@qq.com