发家致富靠 AI ?使用 keras 预测NBA比赛赚钱,回报率达136%……

2023-11-08 19:30

本文主要是介绍发家致富靠 AI ?使用 keras 预测NBA比赛赚钱,回报率达136%……,希望对大家解决编程问题提供一定的参考价值,需要的开发者们随着小编来一起学习吧!

作者 | Caleb Cheng

译者 | Deephub翻译组

来源 | DeepHub IMBA

投注者和博彩者没有太多共同点——人们可以把他们的关系描述为一场竞争、决斗、战争。但在梦中,他们却为同样的幻想而垂涎三尺:一个完美的预测模型,使用它能够精确地预测出未来游戏的结果。通过深入学习,这或许是可能的——或者至少比以前的数据科学技术更容易。

基本假设是NBA市场效率低下(价格或投注线并不能反映出所有可用信息),而且可能比大多数市场效率更低,因为铁杆球迷倾向于只赌他们最喜欢的球队。如果你能对市场的低效率下赌注,你就能赚钱。我们识别低效率的方法之一是通过数据分析。

尽管许多尝试这一挑战的模型都是准确的,但大多数模型离盈利还差得很远。原因很简单:博彩公司也非常准确。即使你能达到博彩公司的准确性,你也会因为5%的投注费而失败。

https://www.football-data.co.uk/blog/nba_pinnacle_efficiency.php

图表是365net的预测线与实际的赢取百分比。一个成功的模型必须能够通过完美的回归分析预测博彩公司的微小波动。

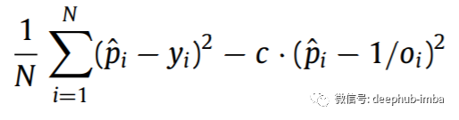
我的模型是用带有Tensorflow的Python构建的,它分析了过去11个NBA赛季,并且在很多方面与其他的深度学习模型相似(后者经常被试图用于解决这个问题)。但是我们的模型有一个关键的区别——它使用了一个自定义的损失函数来剔除与博彩公司的相关性。我们正在挑选博彩公司错误预测获胜百分比的游戏。  

去相关损失公式-这很重要!!!!!!!

源码

模型结构

我用nba_api Python库抓取了得分记录。数据存储在MongoDB集合中。在过去的11个赛季中,每名球员每局共存储42个统计数据,从罚球率到防守得分再到偷球次数不等。下注数据是从betexplorer中收集的。找到高质量的投注线比训练模型困难得多。你可以向斯洛文尼亚卢布雅那大学的什特鲁姆贝尔教授寻求帮助。

对于每一场比赛,样本是用赛季初每名球员最近8场比赛的平均数计算出来的。根据平均比赛时间选出前8名选手。

模型

预处理

  import os  import numpy as np  from tqdm import tqdm  from pymongo import MongoClient  bookies = {  "44":"Betfair",  "16":"bet365",  "18":"Pinnacle",  "5":"Unibet"  }  client = MongoClient()  db = client.nba  games = db.gamesseasons = [f"002{str(i).zfill(2)}" for i in range(8, 20)]  # load the samples into memory  x, y = [], []  def normalize_sample(nparr):  for feature in range(nparr.shape[-1]): # iterate over the features  f = np.nan_to_num(nparr[:, :, feature])  nparr[:, :, feature] = (f-f.min())/(f.max()-f.min())  return nparrfor season in seasons:  for filename in tqdm(os.listdir(f"samples/{season}")[120:]):  if ".npy" in filename:  game = list(games.find({"GAME_ID":filename.strip(".npy"), "bet365":{"$exists":"True"}}))  if not game:  continue  game = game[0]  closing_odds = 1/float(game["bet365"].split()[1].split("v")[0])  home_win = int(game["HOME"] == game["WINNER"])  sample = np.load(f"samples/{season}/{filename}")  x.append((normalize_sample(sample), closing_odds))  y.append(home_win)  x = np.array(x)  y = np.array(y)import random  print(x.shape, y.shape)  diff = len(y)//2 - np.count_nonzero(y == 0)  for i in tqdm(range(diff)):  while True:  a = random.randint(1, len(y)-1)  if y[a] == 1:  x = np.delete(x, a, 0)  y = np.delete(y, a, 0)  break  print(len(x), len(y))

模型

from keras import backend as K  
from keras.models import Model  
from keras.models import Sequential  
from keras.layers import Input, Dense, Dropout, Conv2D, Flatten, Activation, concatenate  
from keras.optimizers import Adamc = 0.6  
def decorrelation_loss(neuron):  def loss(y_actual, y_predicted):  return K.mean(  K.square(y_actual-y_predicted) - c * K.square(y_predicted - neuron))  return loss# split the two input streams  box_scores_train, odds_train = map(list, zip(*x_train))  box_scores_test, odds_test = map(list, zip(*x_test))# box model turns stats into a vector  box_model = Sequential()  shape = box_scores_train[0].shape  print(shape)  box_model.add(Conv2D(filters=32, kernel_size=(1, 8), input_shape=shape,  data_format="channels_first", activation="relu"))  box_model.add(Flatten())box_input = Input(shape=shape)  box_encoded = box_model(box_input)odds_input = Input(shape=(1,), dtype="float32") #(opening or closing weight)  merged = concatenate([odds_input, box_encoded])  output = Dense(32, activation="relu")(merged)  output = Dropout(0.5)(output)  output = Dense(8, activation="relu")(output)  output = Dropout(0.5)(output)  signal = Dense(1, activation="sigmoid")(output)opt = Adam(lr=0.0001)  nba_model = Model(inputs=[box_input, odds_input], outputs=signal)  print(nba_model.summary())nba_model.compile(optimizer=opt,  #loss="binary_crossentropy",  loss=decorrelation_loss(odds_input), # Call the loss function with the selected layer  metrics=['accuracy'])  nba_model.fit([box_scores_train, odds_train], y_train,  batch_size=16,validation_data=([box_scores_test, odds_test], y_test), verbose=1,epochs=20)

该模型是Conv2D和稠密层的组合,具有大量的dropout。模型独一无二的部分是去相关性损失函数,在我的第一篇论文中提到过。尽管Keras本身并不支持具有神经元值的损失函数,但将函数包装在函数中是一种有用的解决方法。我在GTX 1660Ti上训练了20个世代的网络,直到网络收敛。

结果

使用一种非常原始的赌博策略,即10%的平衡*模型置信度,并且仅在模型的置信度大于0.6的游戏上赌博,我们就产生了向上的平衡趋势。有趣的是,这个模型只赌了大约10%的游戏。除了整个2017-18赛季的惨败,我们的模型表现非常好,从最初的100美元投资到现在的136美元,峰值为292美元。

展望与未来

这只是这个模型的开始。有了令人鼓舞的结果,我想制定一个更具活力的投注策略。            

唯一有用的可能是下注代码和模型。             

使用NoSQL是一个错误,我应该坚持使用SQLite,但是学习一种新技术是很好的。编写一个自定义损失函数是一个非常宝贵的经验,并将在未来的深入学习项目中派上用场。

代码地址:https://github.com/calebcheng00/nba_predictions/blob/master/nba.ipynb

推荐阅读

  • 真没想到,Python还能实现5毛特效

  • 作词家下岗系列:教你用 AI 做一个写歌词的软件!

  • AI修复100年前晚清影像喜提热搜,这两大算法立功了

  • 阿里云自研数据仓库 AnalyticDB 再捧 TPC 全球冠军

  • 调查了 17,000 多位程序员,当前的云原生开发现状究竟如何?

  • CSW:惊天巨骗 or 比特币“图腾”中本聪?

  • 从 0 到 70%:Chrome 上位揭秘!

  • 你点的每个“在看”,我都认真当成了AI

这篇关于发家致富靠 AI ?使用 keras 预测NBA比赛赚钱,回报率达136%……的文章就介绍到这儿,希望我们推荐的文章对编程师们有所帮助!



http://www.chinasem.cn/article/372010

相关文章

Spring Boot整合Redis注解实现增删改查功能(Redis注解使用)

《SpringBoot整合Redis注解实现增删改查功能(Redis注解使用)》文章介绍了如何使用SpringBoot整合Redis注解实现增删改查功能,包括配置、实体类、Repository、Se... 目录配置Redis连接定义实体类创建Repository接口增删改查操作示例插入数据查询数据删除数据更

使用python生成固定格式序号的方法详解

《使用python生成固定格式序号的方法详解》这篇文章主要为大家详细介绍了如何使用python生成固定格式序号,文中的示例代码讲解详细,具有一定的借鉴价值,有需要的小伙伴可以参考一下... 目录生成结果验证完整生成代码扩展说明1. 保存到文本文件2. 转换为jsON格式3. 处理特殊序号格式(如带圈数字)4

Java使用Swing生成一个最大公约数计算器

《Java使用Swing生成一个最大公约数计算器》这篇文章主要为大家详细介绍了Java使用Swing生成一个最大公约数计算器的相关知识,文中的示例代码讲解详细,感兴趣的小伙伴可以了解一下... 目录第一步:利用欧几里得算法计算最大公约数欧几里得算法的证明情形 1:b=0情形 2:b>0完成相关代码第二步:加

Java中流式并行操作parallelStream的原理和使用方法

《Java中流式并行操作parallelStream的原理和使用方法》本文详细介绍了Java中的并行流(parallelStream)的原理、正确使用方法以及在实际业务中的应用案例,并指出在使用并行流... 目录Java中流式并行操作parallelStream0. 问题的产生1. 什么是parallelS

Linux join命令的使用及说明

《Linuxjoin命令的使用及说明》`join`命令用于在Linux中按字段将两个文件进行连接,类似于SQL的JOIN,它需要两个文件按用于匹配的字段排序,并且第一个文件的换行符必须是LF,`jo... 目录一. 基本语法二. 数据准备三. 指定文件的连接key四.-a输出指定文件的所有行五.-o指定输出

Linux jq命令的使用解读

《Linuxjq命令的使用解读》jq是一个强大的命令行工具,用于处理JSON数据,它可以用来查看、过滤、修改、格式化JSON数据,通过使用各种选项和过滤器,可以实现复杂的JSON处理任务... 目录一. 简介二. 选项2.1.2.2-c2.3-r2.4-R三. 字段提取3.1 普通字段3.2 数组字段四.

Linux kill正在执行的后台任务 kill进程组使用详解

《Linuxkill正在执行的后台任务kill进程组使用详解》文章介绍了两个脚本的功能和区别,以及执行这些脚本时遇到的进程管理问题,通过查看进程树、使用`kill`命令和`lsof`命令,分析了子... 目录零. 用到的命令一. 待执行的脚本二. 执行含子进程的脚本,并kill2.1 进程查看2.2 遇到的

详解SpringBoot+Ehcache使用示例

《详解SpringBoot+Ehcache使用示例》本文介绍了SpringBoot中配置Ehcache、自定义get/set方式,并实际使用缓存的过程,文中通过示例代码介绍的非常详细,对大家的学习或者... 目录摘要概念内存与磁盘持久化存储:配置灵活性:编码示例引入依赖:配置ehcache.XML文件:配置

Java 虚拟线程的创建与使用深度解析

《Java虚拟线程的创建与使用深度解析》虚拟线程是Java19中以预览特性形式引入,Java21起正式发布的轻量级线程,本文给大家介绍Java虚拟线程的创建与使用,感兴趣的朋友一起看看吧... 目录一、虚拟线程简介1.1 什么是虚拟线程?1.2 为什么需要虚拟线程?二、虚拟线程与平台线程对比代码对比示例:三

k8s按需创建PV和使用PVC详解

《k8s按需创建PV和使用PVC详解》Kubernetes中,PV和PVC用于管理持久存储,StorageClass实现动态PV分配,PVC声明存储需求并绑定PV,通过kubectl验证状态,注意回收... 目录1.按需创建 PV(使用 StorageClass)创建 StorageClass2.创建 PV