本文主要是介绍运筹优化学习05:Lingo进行TSP路径优化源码分享与经典文献分析,希望对大家解决编程问题提供一定的参考价值,需要的开发者们随着小编来一起学习吧!
目录
1 TSP经典模型
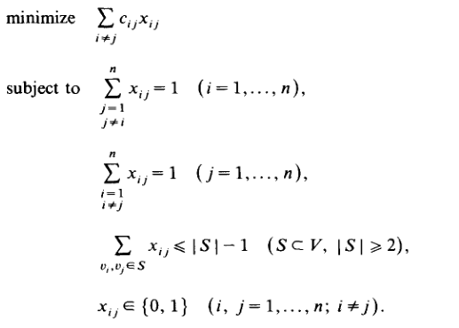
1.1 DFJ模型
1.2 MTZ模型
2 模型分析与经典文献赏析
3 模型拓展与Lingo源码
3.1 拓展模型表述
3.2 Lingo源代码
1 TSP经典模型
1.1 DFJ模型
引文格式:
| G.B. Dantzig, D.R. Fulkerson and S.M. Johnson, "Solution of a large scale traveling salesman problem", Oper. Res. 2, 393-410(1954). |
模型表述:

1.2 MTZ模型
引文格式:
| C.E. Miller, A.W. Tucker and R.A. Zemlin, "Integer programming formulations and traveling salesman problems", J. ACM 7, 326-329 (1960). |
数学表述:
引入了自由变量来消除子路径

是一个比较弱的LP松弛,其可行解并不是一个凸多边形平面
2 模型分析与经典文献赏析
DFJ模型可以较为容易的拓展到CVRP中,但拓展到DVRP中就不那么容易了更不用说要拓展到VRPTW中了
MTZ模型的子路径消除约束可与其他强约束合并
原文赏读:

3 模型拓展与Lingo源码
3.1 拓展模型表述


3.2 Lingo源代码
MODEL: SETS:
CITY / 1.. 6/: U; ! U( I) = 顾客编号序列;
LINK( CITY, CITY): DIST, ! 距离矩阵; X; ! 二进制变量,根据链接(i,j)是否被访问决定X( I, J) = 1或0 ;
ENDSETS DATA: !距离矩阵,可以是对称矩阵也可以使非对称矩阵;
DIST =0 56 35 21 51 60
56 0 21 57 78 70
35 21 0 36 68 68
21 57 36 0 51 61
51 78 68 51 0 13
60 70 68 61 13 0;
ENDDATA
!模型参考文献:Desrochers, M., & Laporte, G. (1991). Improvements and extensions to the Miller-Tucker-Zemlin subtour elimination constraints. Operations Research Letters, 10(1), 27–36.;
!doi:10.1016/0167-6377(91)90083-2?;
N = @SIZE( CITY);
MIN = @SUM( LINK: DIST * X);
@FOR( CITY( K): @SUM( CITY( I)| I #NE# K: X( I, K) ) = 1; ! 必须到达顾客点k; @SUM( CITY( J)| J #NE# K: X( K, J) ) = 1; ! 必须从顾客点k离开 @FOR( CITY( J)| J #GT# 1 #AND# J #NE# K: U( J) >= U( K) + X ( K, J) - ( N - 2) * ( 1 - X( K, J)) + ( N - 3) * X( J, K))!子路径消除约束,属于弱约束,在规模较大问题时,效果有限;); ! 保证变量为二进制变量; @FOR( LINK: @BIN( X)); ! 二进制变量约束;
@FOR( CITY( K)| K #GT# 1: U( K) <= N - 1 - ( N - 2) * X( 1, K); U( K) >= 1 + ( N - 2) * X( K, 1));
END
这篇关于运筹优化学习05:Lingo进行TSP路径优化源码分享与经典文献分析的文章就介绍到这儿,希望我们推荐的文章对编程师们有所帮助!