本文主要是介绍【王木头学科学|深度学习】2.什么是“感知机”,它的缺陷为什么让神经网络陷入低潮,希望对大家解决编程问题提供一定的参考价值,需要的开发者们随着小编来一起学习吧!
笔记来源于B站UP主@王木头学科学
笔记来源https://www.bilibili.com/video/BV1uB4y1M7Ju
- 提出问题
- 逻辑运算只有三个基本运算,就是与、或、非,其他的任何逻辑运算,都可以用这三个组合来实现。既然感知机能够实现与或非,为什么不能实现异或问题呢?
- 为什么引入感知机,感知机有什么意义?
1. 感知机
1.1 感知机的
- 感知机其实就是一个分类的工具,如所示:
二维情况是画一条线,分界线的一端是一类,另一端是另一类。

三维情况是画面

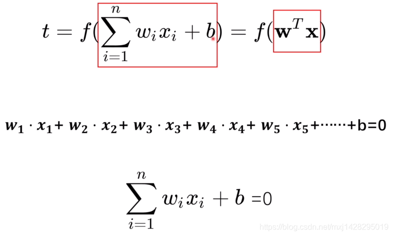
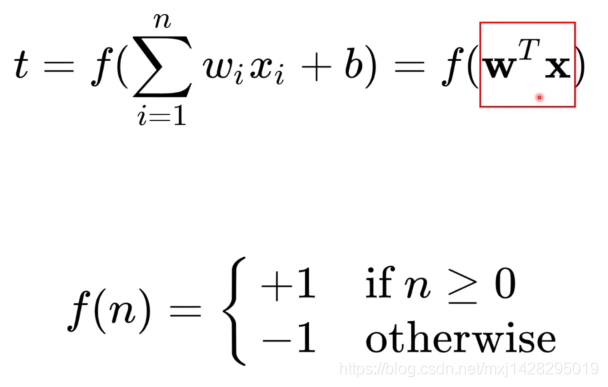
- 感知机的数学表达式如图所示,最后输出结果
一个感知机主要由线性函数和激活函数组成




感知机的含义就是:给这类分类问题一个统一的模板,剩下的就是调参数
2.2 感知机的缺陷
如下图所示,前面三个与或非三个都能计算,感知机能够利用一根线将0和1分开。最后一个是异或运算,需要画一个圆才能将0和1分开,而感知机做不到。

如,一个勺子被感知机给挡住,感知机是分辨不出来的

或者是,需要一条曲线才能将2分类问题分开。

以上举例,一个感知机是做不到的,
2.3 解决异或问题
但是,我们知道,任何一个逻辑问题都可以分解为多个与或非问题,那么异或问题也是可以分解为与或非进行求解,

其实就是靠两个感知机由让原来 不同状态的变成了相同的状态(通过叠加感知机),实现了线性可分

- 解决异或问题不止这一种方法,还可以升维的方法
盖尔定理:
在低维的情况下进行线性划分如果比较困难的话,那就可以升维,升到更高维度那就比价容易了
如图所示,在二维时需要划一个圈才能将其分开,升到三维时,只需要一个平面就能分开

这篇关于【王木头学科学|深度学习】2.什么是“感知机”,它的缺陷为什么让神经网络陷入低潮的文章就介绍到这儿,希望我们推荐的文章对编程师们有所帮助!