本文主要是介绍机器人学之运动学笔记【6】—— 用抛物线过渡的线性插值轨迹规划方法,希望对大家解决编程问题提供一定的参考价值,需要的开发者们随着小编来一起学习吧!
机器人学之运动学笔记【6】—— 用抛物线过渡的线性插值轨迹规划方法
- 1. 规划方式
- 2. 加速度状态讨论
- 3. 多段 Linear Function with Parabolic Blends
- 3.1 中间段的轨迹规划
- 3.2 头段的轨迹规划
- 3.3 尾段的轨迹规划
- 3.4 注解
- 3.5 规划后轨迹并未通过 via points
- 4. Cartesian Space下轨迹几何限制的几种情况
- 5. 举个栗子
- 上一篇博客所学内容是使用三次多项式作轨迹规划,规划出来的曲线都是曲线,在实际的应用当中,会遇到直线轨迹的情况,所以需要掌握能够实现直线轨迹的方法。
- 轨迹中若包含多个直线段轨迹,线段间转折点速度就会不连续,需要有很大的加速度。
- 本节学习内容就是学会如何在我们需要的直线轨迹的规划之上另外导入二次多项式的方式,让直线段跟直线段的轨迹之间能够以二次多项式曲线过渡。

1. 规划方式

一次多项式(linear)等速部分:

二次多项式(Parabolic )等加速部分:

联立两个式子求出 tb:

就可以求解出来我们在某个加速度的条件之下,大概需要多少时间可以把二次式跟一次式作一个圆滑切换,在求解 tb 过程中,当判别式≥0时,所解 tb 才是实数,即:

2. 加速度状态讨论
- 加速度取最小值时,没有直线段,两段抛物线相连

在 tb 时刻的速度是原本无规划直接相连时速度的两倍

- 加速度小于最小值时


3. 多段 Linear Function with Parabolic Blends
针对于一般状况:一条有n个中间点的路径
将每一个区段 [θi,θi+1]各自等效到之前举例的单一 linear 线段[θ0,θf],但与此线段前后相连接的线段的速度不为0

下面要做的就是利用二次式把他们串接起来
注意参数设定的细节:

3.1 中间段的轨迹规划
把中间部分的轨迹放大后:

jk 段和 kl 段一次多项式的速度:

设定过渡抛物线加速度的方式有两个:
- 方法一:设定一个加速度然后求解时间
首先看设定的加速度该是正的还是负的,以这道题来看, jk 段的速度是负的,kl 段的速度是正的,那么加速度就应该是正的( sgn表示方向的确定),就可以求出过渡段所需时间 tk 是多久

- 方法二:设定过渡时间求解加速度(希望在这个时间内完成,反推所需的加速度)

3.2 头段的轨迹规划
把头部分的轨迹放大后:

假设θ0在时间等于0的上面,后续要以一个等速到达θ2,我们要为这个由θ0到θ2的过程补上一个二次式,那么这条抛物线只能加在t0左边,理论上这个抛物线所需的时间的长度会有一半在θ0左边,也就是说,在还没有开始之前就要做一个缓加速的动作,这样做在轨迹规划上会比较奇怪。
所以通常的处理方法是将起始点θ0在时间上往后移t1/2到θ1,以导入二次曲线段,让速度由起始点开始可以连续。在 t1/2 这个点,它仍然保持在θ1=θ0这个位置,这样就可以规划第一段和第二段的轨迹,第一段是一个等加速,第二段是等速。
- 方法一:设定一个加速度然后求解时间
- 方法二:设定一个时间然后求解加速度

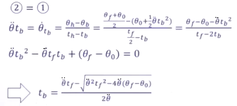
3.3 尾段的轨迹规划
处理方法和头部一样,增加一个 via point ,θn 和 θf 大小一样,但是 θn 发生的时间点前移 tn/2 。

3.4 注解
真实系统中可达到的加速度取决于许多因素:
- 马达规格
- 手臂姿态:手臂在不同姿态下,各轴所需承载(如重力)的扭力不同
- 手臂动态状态:手臂在不同动态下,各轴需承载惯性力不同
3.5 规划后轨迹并未通过 via points
仅当加速度趋于无穷的时候,轨迹会通过via points

如果要求必须通过 via points ,那么虚拟 via points,让原本的 via points 落在 linear 段上,就会通过

刚刚已经学习了求解加速度以及相应的时间,下面来看看该怎么将轨迹用方程表示出来(针对同一个时间基准 t)
假设此刻时间 t 落在直线段里,它的轨迹应该是怎样呢?
假设此刻时间 t 落在抛物线段里,它的轨迹又应该是怎样呢?

4. Cartesian Space下轨迹几何限制的几种情况
case2:在等速轨迹中,状态3→4需要关节在短时间内经历非常剧烈的变化,马达的扭力可能无法达到

5. 举个栗子

以 linear function with parabolic blends 在 Cartesian-space 下规划轨迹
在Cartesian-space 下规划轨迹,就说明在x、y和θ 下面规划,因为定义的 initial、final和via points 本身就在Cartesian-space 下,所以不需要做IK,可以直接以给定的点各自去做规划,将x、y和θ 三个自由度分开做。
第一步找出过程中所有线段的速度和加速度,有四个点,所以会有三个直线段,中间就会有三个linear function 的速度段要求解,有四个二次项段要求解,把这些段落的速度和加速度求解出来
第一步:分别求解三个自由度的速度,有了各自由度在各个点的速度后,这些速度的差异就是我们需要的加速度

这样方程式的系数就得到了,下一步的关键就是将方程依据绝对的世界时间写出来。

以上过程就是以 x 自由度为例把整段轨迹的参数式以绝对的时间坐标写出来。

到此为止,有了Cartesian-space 下的轨迹,真正要操作手臂的话,就必须先 IK,把x、y、θ通过IK解算出各个关节的角度

这篇关于机器人学之运动学笔记【6】—— 用抛物线过渡的线性插值轨迹规划方法的文章就介绍到这儿,希望我们推荐的文章对编程师们有所帮助!