本文主要是介绍电路基本概念和等效转换,希望对大家解决编程问题提供一定的参考价值,需要的开发者们随着小编来一起学习吧!
Circuit
概念
- 回路:闭合路径
- 网孔:不含支路的回路
- 网络:即电路
- 节点:支路的连接点。电路图中用黑点表示
参考方向
电流和电压均有参考方向,两者的参考方向相同时称为关联参考方向,反之为非关联参考方向
当参考方向与实际方向一致时,则算出的值为正;相反则为负。当然,更常见的是这样:我算出了电流值值,是个正数,原来实际电流方向就是这样啊…
看似参考方向能解决许多问题,大不了我可以分开讨论电压电流,干嘛要关联呢?
是否关联用于解决同时包含电流与电压的问题。比如功率。
我们都知道P=UI,但是如果两者参考方向相反,实际方向又和参考方向不一定一样,又怎么判断是放出能量还是吸收能量呢?
求功率的时候,若为关联参考方向,则P=UI;若为非关联参考方向,则P=-UI
所以求功率,先判断是否关联,是否要先加负号;再带入U、I,注意U、I本身带有符号,根据其参考方向和实际方向是否一致
欧姆定律同理。
基尔霍夫定律
基尔霍夫电流定律(KCL)
流入节点的电流等于流出节点的电流,即电路中任意节点上,各支路电流的代数和等于0
可以把电路中任意封闭面看成支点,其满足KCL
比较好理解,而且用到比较少…

基尔霍夫电压定律(KVL)
任意时刻,沿闭合回路的电压降的代数和等于0
要注意的是,需要先规定参考方向(顺时针/逆时针),并以此方向来判断是电压降还是电压升,这影响到数值前是加还是减

电阻
耗能原件。根据伏安特性(VAR/VAC)可分为以下:
- 线性定常电阻
- 线性时变电阻,如滑动变阻器
- 非线性电阻,如二极管
电源
供能原件。分为以下两种:
- 独立电源:电压或电流是时间函数
- 非独立电源:电路中其他部分的电压或电流函数。又称受控电源
独立电压源称为电压源,独立电流源称为电流源,非独立电压电源称为受控源
电压源
基本性质:
- 电压是定值或时间函数,与流过的电流无关
- 流过的电流由外部电路决定
电流源
比如光电池
基本特性:
- 电流是定值或时间函数,与端电压无关
- 端电压由外部电路决定
电源等效互换
依据:电源的外特性相同

转换电路时,电阻保持不变,根据已知求未知,然后改变串并联。注意方向要一致,电源中电流从低点位流向高电位(从负到正)
补充电流源与电压源之间,自己和自己以及相互串并联的情况:


理想电源内阻
得出以下结论:
- 电压源不并联
- 电流源不串联
- 电流源与电压源并联,电流源不起作用
- 电流源与电压源串联,电压源不起作用
在转换替代电路时,有一些简便的方法:

动态元件
具有储能功能,一般用于交变电路。
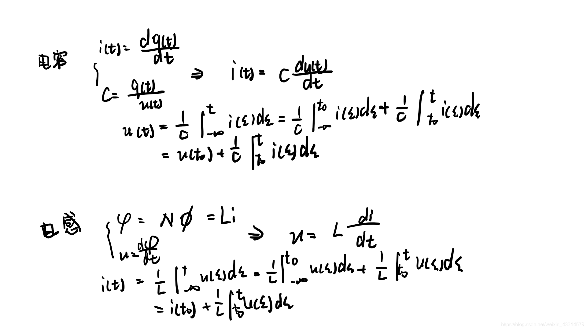
电容
能储存电荷,即储存电场能量。理想电容器(忽略漏电)称为电容元件
某时刻电容器电流取决于电压变化率。两端电压是连续变化的,不可能发生跃变
不同情况下采用不同的模型:
- 频率低,精度不高的电路:理想电容器
- 不能忽略消耗的能量:并联一个电阻
- 频率高,产生不能忽略的磁场:添加电感元件L
电感
电感器,或电感线圈、扼流圈,将能量储存在磁场中。
电流不能发生跃变。
分为低频、高频,不同情况采用不同模型:
- 消耗的能量忽略不计:理想电感元
- 考虑导线消耗:用一个集中电阻R
- 考虑高频线圈之前的电容:并联一个电容原件C


原理
对于电容和电感的串并联,不做赘述,在此给出以下结论:
电容并联与电阻串联相似;电容串联与电阻并联相似
电感并联与电阻并联相似;电感串联与电阻串联相似
受控电源
受控源是四端原件,又称耦合元件,分为:
- 电压控制电压源:VCVS
- 电流控制电压源:CCVS
- 电压控制电流源:VCCS
- 电流控制电压源:CCCS

对于受控电源,除了其电流或电压的值不确定(有个未知数,通常为I),其余分析方法与独立电源相似。
在化简电路的时候,可将受控剑源等效替代为一个电阻:

这篇关于电路基本概念和等效转换的文章就介绍到这儿,希望我们推荐的文章对编程师们有所帮助!