本文主要是介绍RL串联等效转换为RL并联的方法及其仿真,希望对大家解决编程问题提供一定的参考价值,需要的开发者们随着小编来一起学习吧!
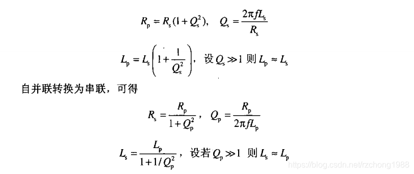
RL串联等效转换为RL并联的理论知识如下:


1)我们根据村田官网上的资料,使用LQW18AN5N6D10(5.6nH)电感来模拟仿真; 根据村田资料,我们可以知道该电感的Q值在2470MHz为130.4 ;

2)根据该资料,我们使用ADS模拟一个RL串联的电感如下:
其等效串联电阻的值为
, 使用 s参数仿真,可知其阻抗为:0.667+j*86.909 ;


3)根据理论知识,把RL串联电路转换为RL并联等效电路:
仿真图如下:

其阻抗如下:

4)对比RL串联时的阻抗 和 RL并联时的阻抗,可以看出他们基本是一样阻抗的,所以该等效转换是成功的;
这篇关于RL串联等效转换为RL并联的方法及其仿真的文章就介绍到这儿,希望我们推荐的文章对编程师们有所帮助!