本文主要是介绍计算重叠积分的第二种方法,希望对大家解决编程问题提供一定的参考价值,需要的开发者们随着小编来一起学习吧!
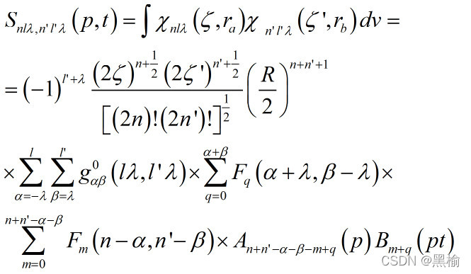
重叠积分可表示为

其中




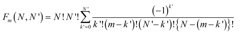
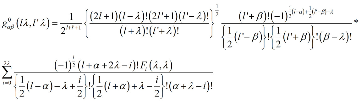
其中的F函数就是前文得到的FmNN( int m ,int N, int N1 )方法,gαβ函数就是前文得到的gαβ( int La, int Lb, int λ, int α ,int β )方法,由这个公式得到了第二种计算重叠积分的方法Sab(double R,double za,double zb, int n1,int L1 ,int mm ,int n2 ,int L2 )。
如计算
double d= Sab ( 2.5, 4.2, 4.4 , 2, 1 , 1 ,3 ,2 ); // -0.012921364537272557
*Computation of Overlap Integrals Over Slater-Type Orbitals Using Auxiliary Functions
I. I. GUSEINOV, A. OZMEN, U. ATAV, H. YUKSEL
Department of Physics, Faculty of Arts and Sciences, Selc ¸ uk University, 42079 Campus, Konya,Turkey
Received 6 January 1997; revised 5 July 1997; accepted 30 September 1997
*《量子化学》徐光宪 P547
Java 程序
package greenwood;import java.io.DataInputStream;
import java.io.FileWriter;
import java.io.IOException;
import java.io.InputStream;
import java.text.DecimalFormat;
import java.text.ParseException;public class auxiliarySab {public static double FACT( double n ) throws IOException, ParseException {double prodt=1.0;for(int a=1 ;a<n+1 ;a++){prodt=prodt*a;}if(n<0){System.out.println( prodt+ " 负数阶乘 " );}return prodt;}//38apublic static double FmNN( int m ,int N, int N1 ) throws IOException, ParseException, InterruptedException {//System.out.println( m+" "+N+" "+N1+ " **** m N N1" );double d=0.0;double d1=0.0;double d2=0.0;double f1=0;for(int k=0 ;k<N1+1;k++){if(k<0||m-k<0||N1-k<0 || N-m+k<0 ){d2=0;}if(k>=0&&m-k>=0&&N1-k>=0 && N-m+k>=0 ){d=Math.pow( -1, k );d1=FACT(k)*FACT(m-k)*FACT(N1-k)*FACT(N-m+k);d2=d/d1;}f1=f1+d2;//System.out.println(k+" "+ (m-k)+" "+(N1-k)+" "+(N-m+k)+" ** FmNN "+d1+" "+d2 +" "+f1 );}double d3=FACT(N)*FACT(N1)*f1;//System.out.println( d3+" "+f1+" ** d3 FmNN " );return d3;}//https://blog.csdn.net/georgesale/article/details/118762949public static double calc2( String stra ) throws IOException, ParseException, InterruptedException {FileWriter fileWriter5 = new FileWriter("d:/工业/hk/python/表达式.csv");//stra="hin( fx1,fx1)";//stra="jin( rj1,rj2)";stra=stra.replaceAll(",","#");fileWriter5.write( stra + "\r\n");fileWriter5.flush();String exe = "python";String command = "D:/Download/cal.py"; String[] cmdArr = new String[] {exe ,command };Process process = Runtime.getRuntime().exec(cmdArr);InputStream is = process.getInputStream();DataInputStream dis = new DataInputStream(is);String str = dis.readLine();process.waitFor();//System.out.println(str); double df= Double.parseDouble(str.trim()); return df;}public static double Ak(int k, double p ) throws IOException, ParseException, InterruptedException {//System.out.println( N+" "+N1+" "+q+ " ** QNNq " );String s1="μ**"+k+"*sympy.exp(-"+p+"*μ)";String s2= "integrate("+ s1 + ", (μ , 1, float('inf')))";//System.out.println( s2+ " ** ak" );double ds=calc2( s2 );return ds;}public static double Bk(int k, double p, double t ) throws IOException, ParseException, InterruptedException {String s1="v**"+k+"*sympy.exp(-"+p*t+"*v)";String s2= "integrate("+ s1 + ", ( v , -1, 1))";//System.out.println( s2+ " ** bk" );double ds=calc2( s2 );return ds;}public static double Sab(double R,double za,double zb, int n1,int L1 ,int mm ,int n2 ,int L2 ) throws IOException, ParseException, InterruptedException {double f=0;DecimalFormat df = new DecimalFormat( "0.00000000"); double p=R*(za+zb)/2;double t=(za-zb)/(za+zb);double d3= Math.pow((2*za),(n1+0.5))* Math.pow((2*zb) ,(n2+0.5) )/ Math.pow( ( FACT(2*n1)*FACT(2*n2) ),0.5) * Math.pow( (R/2),(n1+n2+1)) ;int λ=mm; double f3=0;for( int α=-λ ; α<L1+1 ;α++ ){for(int β=λ ; β<L2+1 ;β++ ){double d4= gαβP.gαβ( L1, L2, λ, α , β );System.out.println( d4+" *** d4 " +L1+" "+L2+" "+ λ+" λ "+α+" "+β+" α+β+1 "+ (α+β+1) );double f1=0;if(Math.abs(d4)>1e-6){for(int q=0 ;q<α+β+1; q++){double d5=FmNN( q ,α+λ , β- λ );double f2=0;if(Math.abs(d5)>1e-6){for(int m=0 ;m<n1+n2-α-β+1 ;m++){double d6=FmNN( m ,n1-α , n2-β );double d7=0;if(Math.abs(d6)>1e-6){d7=Ak( n1+n2-α-β-m+q, p)*Bk(m+q,p,t);}f2=f2+d6*d7;System.out.println( df.format(d6)+" d6 "+df.format(d7)+" "+df.format(f2)+ " f2 "+m);}}f1=f1+d5*f2; System.out.println( q+" q "+df.format(d5)+" d5 "+df.format(f2)+" *** f1 " +f1+" * "+ (n1+n2-α-β+1 ) );}}f3=f3+d4*f1;System.out.println( d4+" "+f1+" *** f3 " +f3 +" *** "+α+" "+β );}}f=Math.pow(-1 , L2+mm )*d3*f3;//System.out.println( d3+" "+f3+ " *** d f" );return f;}public static void so( ) throws IOException, ParseException, InterruptedException {//double d= Sab ( 2.5, 4.2, 4.4 , 2, 1 , 1 ,3 ,2 ); //-0.012921364533721143 -0.012921364537272557 //double d= Sab ( 2.5, 2.3, 2.3, 3, 2, 0, 2, 1 ); //-0.2252196665380932 -0.2252196665381199double d= Sab ( 0.2, 5.8, 4.5, 3, 2, 2, 3, 2 ); //0.8783587074281796 0.8783587025446252System.out.println( d+ " *** d ***" );}public static void main(String[] args) throws IOException, ParseException, InterruptedException {so( );}}
这篇关于计算重叠积分的第二种方法的文章就介绍到这儿,希望我们推荐的文章对编程师们有所帮助!