本文主要是介绍论文阅读:Global optimization with one-class classification-assisted selection,希望对大家解决编程问题提供一定的参考价值,需要的开发者们随着小编来一起学习吧!
另可通过Wolai笔记查看:Global optimization with one-class classification-assisted selection
原作者:Jinyuan Zhang, Jimmy Xiangji Huang , Qinmin Vivian Hu
发表期刊:Swarm and Evolutionary Computation
文献链接:Global optimization with one-class classification-assisted selection
摘要
进化算法中的选择方式是从一组候选中选择有希望的解决方案。大多数选择策略都是适应度驱动的,每个解决方案都是根据其适应度值来选择的。这种基于适应度的策略导致了适应度评估的浪费,因为一些没有希望的解决方案被扔掉了,同时在评估中没有提供有价值的搜索信息。我们的目的是减少选择过程中适应度评估的次数。我们将选择过程视为单类分类过程,这样与具有目前最佳解的种群相似的后代解更有可能被选择。我们使用分类器来预测新生成的解决方案的类别。出于评估目的,只能选择那些预测的“有希望”的解决方案。EAs的效率可以大大提高,因为该过程是基于适应性评估之前的决策变量(特征)。基于这一考虑,我们提出了一种单类分类辅助选择策略OCAS。我们将OCAS策略应用于两个EAs,并在三个测试套件中对其进行研究。实验结果表明,OCAS可以明显减少适应度评估的次数。
介绍和研究动机
进化算法是一种启发式优化方法。由于进化算法具有获得全局最优和几乎所有最优结果的优势,因此它在解决优化问题时受到了广泛关注。
EA的主要框架总是包括三个主要组成部分:
-
初始化,初始化一个优化问题的原始种群;
-
复制,从当前的种群中产生新的解决方案;
-
选择,其基于当前和后代种群确定新种群。
大多数选择策略都是基于适应值的,这意味着只有适应值较好的解才会被选择用于新的群体,而较差的解会被丢弃。因为被评估的解决方案只被使用一次,所以许多适应性评估(FEs)被浪费了。因为EAs的时间复杂度通常由FEs的数量来衡量,并且现实世界问题的FEs可能在计算上是昂贵的,所以EAs通常是耗时的。
我们被激励将EAs中的解决方案选择视为一个分类问题,其中选择的解决方案是“有希望”的,而丢弃的解决方案是“没有希望”的。基于这一思想,本文提出了一种分类辅助选择策略来减少FEs的数量。在大多数EAs中,我们只关注“好的”数据,并且维持群体是由几代人之后相对“好”的解决方案组成。为这种EA维护适当的训练数据集并不容易。因此,通常只需要单类训练数据点的一类分类(OCC)方法比二类或多类模型更适合辅助选择。
根据这一思想,我们提出了一种单类分类辅助选择策略,并将其集成到EAs中。我们引入了OCC分类模型,并基于每一代的当前种群来构建它。然后,OCC模型标记子代群体中的解,并选择“有希望的”解进行评估。这种策略提供了以下好处:
-
“有希望”和“没有希望”的解决方案由OCC模型自动分组;
-
在选择过程中只评估“有希望的”解决方案,而“没有希望的”解决方案不经评估就直接扔掉;
-
通过对后代群体进行分类,节省了FEs的数量;
-
在我们模型的训练阶段,我们只需要“有前途的”解决方案。
本文的主要贡献总结如下:
-
我们将进化算法的解决方案选择方式视为一个OCC问题,以减少FEs的数量,被选择的解决方案是“有希望”的,而被抛弃的解决方案是“没有希望”的。
-
我们提出了一个单级分类辅助选择(OCAS)策略来选择适合度评估的解决方案。我们使用OCC模型进行分类。不同于现有的基于分类器的算法需要准备两类数据来建立模型,我们将当前种群中的所有解决方案视为“有希望”的解决方案,这些解决方案被用作建模的唯一数据类别。
-
提出的OCAS策略是一个通用框架。我们可以将不同类型的OCC模型应用于OCAS,也可以将OCAS集成到不同类型的EAs中。我们将提出的OCAS应用到两个EAs中,并用三个测试集进行研究。实验结果显示了我们提出的OCAS在显著减少FEs数量方面的效率。
相关工作
为了节省进化算法中适应度评估的次数,特别是当适应度评估特别耗时的时候,研究员们求助于其他方法来辅助选择过程。
-
基于代理模型的方法:surrogate(meta) model-based approachs (SAEAs)
这些算法建立模型以接近原始优化问题。然后用模型预先估计的解的适应值代替真实值进行选择。通过这种方式,SAEAs能够显著减少FEs的数量。 -
基于进化贝叶斯分类器的算法:evolutionary Bayesian classifier-based algorithm
1. 这种方法将种群分成一组不同的类。
2. 算法选择几个类来训练分类模型。
3. 使用训练好的模型对新的解决方案进行采样。 -
一种分类辅助的模因算法:classification-assisted memetic algorithm
该算法利用支持向量机(SVM)模型预测约束问题的可行边界。可行区域被定义为“好”类,不可行区域被认为是“坏”类。对于每个解,用于评估可行边界的领域被定义为基于可行度的k个最近的解。 -
基于分类模型的差分算法CADE
在差分进化算法中使用分类模型来减少FEs的数量。对于每个父代解决方案,训练集由一组用于分类器训练的历史评估解决方案组成。分类器决定生成的后代解决方案是否被评估。 -
基于双类分类的偏好策略:binary-class classification-based preselection strategy(CPS)
在复制过程中起作用,为算法提供获得“好”解的更多可能性。
它使用分类模型来选择后代解,而不评估它们。分类器是由当前群体中被分为两类的的解决方案构建的,该群体被分为两类。对于每个父代解决方案,模型会标记一组生成的候选解决方案。只有带有“好”标签的解决方案才能被选为真正的后代解决方案。
单类分类辅助选择策略
优化问题的数学表达
min x ∈ Ω f ( x ) \min_{x\in \Omega}{f(x)} x∈Ωminf(x)
其中, x = ( x 1 , x 2 , … , x n ) T x=(x_1, x_2, \dots ,x_n)^T x=(x1,x2,…,xn)T是一个 n n n维决策变量; Ω \Omega Ω是搜索空间的可行域; f : R n → R f:R^n \to R f:Rn→R是目标函数。
本篇文章提出了单类分类辅助选择策略,OCG模型帮助筛选出无前途的解决方案。因为这些无前途的解决方案不用被评估,适应度评估的数量就会降低。
基于OCAS的进化算法

OCAS-EA的主要组件在流程图中用红色方块表示:
-
我们将当前种群定义为“有希望的”训练数据集,并用 “ l a b e l = 1 ” “label = 1” “label=1”标记种群中的解决方案.
-
使用标记过的解决方案来训练OCC模型。
-
使用OCC模型来预测子代解的标签。
-
只评估预测的“有希望”的解决方案。
-
我们将“有希望的”解决方案和父代解决方案应用选择过程产生新一代种群。
基于这些策略,通过使用OCC模型来减少FEs的数量,在该模型中,“没有希望的”后代解决方案在没有评估的情况下被直接丢弃。

-
随机生成 N N N个解决方案来组成初始种群 P P P;
-
如果适应值评估的次数达到指定值,则停止算法:
-
给 P P P中的每一个解决方案 x x x分配标签 l x = 1 l_x=1 lx=1,生成训练集;
-
使用标记过的训练集来训练OCC模型;
-
基于当前种群 P P P生成子代种群 Q Q Q;
-
设置 Q Q Q中的每个解决方案y的适应度: f ( y ) = ∞ f(y)=\infty f(y)=∞;
-
通过OCC模型标记 Q Q Q中的每个解决方案 y y y;
-
判断 Q Q Q中是否存在标记为1的解决方案 y y y;
-
评估 Q Q Q中标记为1的解决方案;
-
如果 Q Q Q中不存在标记为1的解决方案,则评估 Q Q Q中所有解决方案的适应度值;
-
通过OCAS策略从 P P P和 Q Q Q中选择 N N N个解决方案组成新一代种群。
OCAS-EA是一个通用的算法框架。OCAS策略可以应用于各种最先进的EAs。大多数OCC算法可以应用于OCAS策略。OCAS-EA的实现将在接下来的章节中详细介绍。
数据准备
训练数据集是控制分类效率的重要组成部分。为了引导具有丰富信息的正确分类,具有搜索信息的先前种群是构建EAs中训练数据集的最佳候选。
让P和Q成为当前的训练集和新生成的数据集。训练数据集更新方式为: P = S e l e c t ( P ⋃ Q , M ) P=Select(P\bigcup Q, M) P=Select(P⋃Q,M),其中 S e l e c t ( P ⋃ Q , M ) Select(P\bigcup Q, M) Select(P⋃Q,M)是从 P ⋃ Q P\bigcup Q P⋃Q中选择 M M M个解决方案, M M M为训练集的尺寸大小。
one-class classification(OCC)模型
不同于双类或多类模型,单类分类模型只需要一种类型的数据集来构建分类模型。OCC是针对分类问题提出的,这种问题中“好”和“坏”样本的数量不平衡,或者没有足够的“坏”样本用于模型训练。由于不存在两类训练数据集,OCC模型实际上侧重于学习训练数据的边界,而不是像传统的二类方法那样学习最大界限。基于SVM提出了多种OCC模型,还有基于其他机器学习方法的OCC模型。

图2示出了OCC模型的示例,其中图2 (a)绘制了示例数据,图2 (b)绘制了如何构建OCC模型:
-
红星代表好样本;
-
曲线表示仅根据好的样本建立的OCC模型的边界;
-
蓝色圆圈是没有任何类别信息的样本。
使用 < y , l > <y, l> <y,l>表示一个带有标记l的数据点y,因为在OCC模型中,l的值为1,所以数据点可以被写作 < y , 1 > <y, 1> <y,1>。OCC模型的目的是在y和l之间找出一种关系: l = O C C ( y ) l=OCC(y) l=OCC(y)。
本文采用基于SVM的OCC模型(OCSVM) ,它在libsvm中实现,libsvm是一种广泛使用的SVM工具。OCSVM的目的是在特征空间中找到一个与零点(zero point)距离最大的超平面(hyperplane),并且能够将数据点和零点分开。
OCSVM的问题定义为
min ω , ξ , ρ 1 2 ∣ ∣ ω ∣ ∣ 2 − ρ + 1 ν N ∑ i = 1 N ξ i s . t . ω ⋅ ϕ ( y i ) ≥ ρ − ξ i ξ i ≥ 0 , i = 1 , ⋯ , N . \min_{\omega,\xi,\rho} { \frac{1}{2}{||\omega||}^2-\rho + \frac{1}{\nu N}\sum^N_{i=1}{\xi^i} } \\ s.t. \qquad \omega \cdot \phi(y^i)\ge \rho- \xi^i \\ \qquad\qquad\xi^i \ge 0,i=1,\cdots,N. ω,ξ,ρmin21∣∣ω∣∣2−ρ+νN1i=1∑Nξis.t.ω⋅ϕ(yi)≥ρ−ξiξi≥0,i=1,⋯,N.
目标函数被定义为 f ( y ) = s g n ( ω ⋅ ϕ ( y ) − ρ ) f(y)=sgn(\omega \cdot \phi(y)-\rho) f(y)=sgn(ω⋅ϕ(y)−ρ)。
y i ( i = 1 , ⋯ , N ) y^i(i=1,\cdots,N) yi(i=1,⋯,N)是训练集;
ν ∈ ( 0 , 1 ] \nu \in (0,1] ν∈(0,1]设置误差小数部分的上界和训练集数量的下界;
ω \omega ω是权重向量, ρ \rho ρ是偏移量, ω \omega ω和 ρ \rho ρ定义了超平面;
ξ \xi ξ是非零的松弛变量;
ϕ \phi ϕ是变量空间到特征空间的特征映射。
OCSVM的时间复杂度为 O ( N 3 ) O(N^3) O(N3)。关于OCSVM的更多细节参考论文:Estimating the support of a high-dimensional distribution
选择
在进化算法中,大多选择策略可以分为两类:
-
基于个体的方法 :
在这个类别中,每个子代解决方案与其父代进行比较。为新种群选择子代和父代解决方案中较好的一个。算法2中显示了该类别中的OCAS。
第2行, c o u n t i count^i counti用来记录已执行的世代数,此时解决方案 x i x^i xi还没更新。
第3行,如果父代解决方案在前两代中没有被更新,我们就评估它的子代。
6-8行,如果子代解 y i y^i yi的适应度值小于其父代 x i x^i xi,则用 y i y^i yi替代 x i x^i xi,否则 x i x^i xi仍保存在P中。

P P P中的每一个解决方案都会生成一个子代。 Q Q Q是含有 N N N个子代解决方案的种群。 -
基于种群的方法 :
在这个类别中,将子代和部分种群合并,为新的种群选择更好的解决方案。算法3中显示了该类别中的OCAS。

第1行,将 Q Q Q中被评估过的解决方案集中到种群 R R R中;
第2行,将种群 P P P中的解决方案合并到 R R R中, R = P ⋃ R R=P\bigcup R R=P⋃R;
第3行,按照适应度值对 R R R中的解决方案进行降序排序;
第4行,在排序后的种群 R R R中选择前 N N N个解决方案加入到P中。
繁殖操作
EDA/LS和CoDE繁殖算子被用来测试OCAS的效率:
-
EDA/LS:EDA/LS 是一种新提出的混合分布估计算法,具有良好的优化性能。
1.作为EDA的一种,EDA/LS的选择策略是基于种群的。
2.在后代繁殖过程中,同时使用了全局统计信息和解决方案局部信息。
3.便宜的和昂贵的本地搜索方法都被用来进行搜索过程。 -
CoDE:CoDE 是一个多算子DE,在优化上有很好的表现。
作为一种DE,CoDE的选择策略是基于个体的。
CoDE使用三种变异操作符以及子代繁殖的三组控制参数:
1. DE/rand/1/bin: y = x r 1 + F ( r r 2 − x r 3 ) y=x^{r1}+F(r^{r2}-x^{r3}) y=xr1+F(rr2−xr3)
2. DE/rand/2/bin:y= x r 1 + F ( r r 2 − x r 3 ) + F ( r r 4 − x r 5 ) x^{r1}+F(r^{r2}-x^{r3})+F(r^{r4}-x^{r5}) xr1+F(rr2−xr3)+F(rr4−xr5)
3. current-to-rand/1: y = x + r n d ( x r 1 − x ) + F ( x r 2 − x r 3 ) y=x+rnd(x^{r1}-x)+F(x^{r2}-x^{r3}) y=x+rnd(xr1−x)+F(xr2−xr3)
r 1 , r 2 , r 3 , r 4 , r 5 r1,r2,r3,r4,r5 r1,r2,r3,r4,r5是 [ 1 , N ] [1,N] [1,N]之间的随机整数, F F F是标量因子, r n d rnd rnd在 [ 0 , 1 ] [0,1] [0,1]中随机生成,具体细节查阅:Differential evolution with composite trial vector generation strategies and control parameters
在每一代中,为每个父代解生成三个候选子代解。但只有适应值最好的候选子代才被选为父代的真正后代。CoDE的计算复杂度是 O ( N d ) O(Nd) O(Nd)。
实验研究
实验设置
我们使用了YLL测试实例中的前13个例子进行研究。13个函数的特征如下:
f 1 、 f 2 、 f 3 、 f 4 f1、f2、f3、f4 f1、f2、f3、f4是单模的;
n=2,n=3时,f5是单模的;当n>3时,f5是多模的;
f 6 f6 f6是阶跃函数;
f 7 f7 f7是白噪声函数;
f 8 、 f 9 、 f 10 、 f 11 、 f 12 、 f 13 f8、f9、f10、f11、f12、f13 f8、f9、f10、f11、f12、f13是多模的。
对于所采用的OCC模型,核心是径向基函数。其他参数是默认值。
基于EDA/LS的方法的种群大小设为 N = 150 N=150 N=150;基于CoDE的方法的种群大小设为 N = 30 N=30 N=30。变量的维度 n = 30 n=30 n=30。终止条件为 F E s = 300000 FEs=300000 FEs=300000。每一个测试实例上每个算法运行 30 30 30次。
我们通过在5%的显著性水平上的Wilcoxon秩和检验评估算法性能的差异。在表1、表4和表5中,“+”、“-”或“~”表示对应算法所需的FEs数量“优于、劣于或类似于对比算法。
实验结果
在这一部分,我们研究了OCAS-EDA/LS和OCAS-CoDE与EDA/LS和CoDE相比的性能。

表1显示了两种比较算法在13个实例上获得相同适应值时所需的FEs的最小、最大、平均和标准数量。对于每个实例,我们记录两种比较算法可以获得的适应值。
对于OCAS-EDA/LS和EDA/LS,表1显示
相比EDA/LS,OCAS-EDA/LS在11个测试实例上以更少的评估次数获得适合度值。特别是在f9,OCAS-EDA/LS将EDA/LS的评估次数减少了一半。只有在 f 3 f3 f3,EDA/LS比OCAS-EDA/LS需要更少的评估。
相比CoDE,OCAS-CoDE在11个测试实例上用更少的FEs获得了相同的值。然而,在 f 5 f5 f5,CoDE比OCAS-CoDE需要更少的FEs。在 f 8 f8 f8,两种比较的算法需要相似的FEs。

图3绘出了OCAS-EDA/LS和EDA/LS所需的平均评估次数与不同适应值的关系。该图与表1中的结果一致。对于12个实例,基于OCAS的方法比原始算法占用更少的FEs。在 f 3 f3 f3,OCAS-EDA/LS在实现前三个值时需要较少的FEs,但是在最后一个值时需要较多的FEs
[外链图片转存失败,源站可能有防盗链机制,建议将图片保存下来直接上传(img-Zqjn6TX2-1636445114936)(image/08.png)]
图4绘制了通过OCAS-CoDE和CoDE获得的平均适合度值与FEs数量的关系图。图4中的曲线与表1中的结果一致。在 f 1 ∼ f 4 、 f 6 、 f 7 、 f 9 ∼ f 13 f1\sim f4、f6、f7、f9\sim f13 f1∼f4、f6、f7、f9∼f13,OCAS-CoDE比CoDE收敛得更快,获得更好的优化结果。特别是在f9上,OCAS-CoDE收敛到最优结果“0”,而CoDE无法得到这个结果。在 f 5 f5 f5,OCAS-CoDE和CoDE在开始时收敛效果类似,但是在最后,CoDE获得了更好的结果。在 f 8 f8 f8,CoDE比OCAS-CoDE收敛得更快。
对训练数据集大小的敏感性研究
在本节中,我们考虑了模型构建中训练数据集大小的影响。我们将用于测试的OCAS-EDA/LS的种群大小从 1 N 1 N 1N变化到 4 N 4 N 4N( N N N是种群大小)。当在13个测试实例上实现相同的适应值时,每个策略所需的FEs的平均数量被记录并呈现在图5中。

统计结果表明,种群数量为 1 N 1N 1N的OCAS-EDA/LS在 f 1 、 f 2 、 f 4 ∼ f 6 、 f 8 、 f 10 ∼ f 13 f1、f2、f4\sim f6、f8、f10\sim f13 f1、f2、f4∼f6、f8、f10∼f13中FEs最少。种群数量为 2 N , 3 N , 4 N 2N,3N,4N 2N,3N,4N的OCAS- EDA/LS在 f 3 f3 f3,$f9 $上优于种群数量为 1 N 1N 1N的OCAS- EDA/LS。在 f 7 f7 f7上,OCAS-EDA/LS在四种大小的训练数据集上的性能是相似的。根据这些结果,我们得出种群数量为 1 N 1N 1N的OCAS- EDA/LS优于其他三个训练数据集大小。 1 N 1N 1N是OCAS策略的最佳选择。
对SVM核敏感性研究
在本节中,我们考虑了我们在OCAS策略中采用的SVM模型的内核的影响。我们将带有线性核(t= 0)、多项式核( t = 1 t = 1 t=1)、RBF核( t = 2 t = 2 t=2)和sigmoid核( t = 3 t = 3 t=3)的OCAS-EDA/LS应用于测试套件。
在13个测试实例中,通过算法相对于FEs获得的平均适合度值如图6所示。

统计结果显示,在 f 1 、 f 2 、 f 4 、 f 6 、 f 7 、 f 10 ∼ f 12 f1、f2、f4、f6、f7、f10\sim f12 f1、f2、f4、f6、f7、f10∼f12上,带RBF的OCAS-EDA/LS优于带有其他三个内核的OCAS-EDA/LS。在 f 5 f5 f5,带有RBF和sigmoid核的OCAS-EDA/LS是最好的。在 f 8 f8 f8和f9,具有线性核的OCAS-EDA/LS是最好的。在 f 3 f3 f3,带有sigmoid内核的OCAS-EDA/LS是最好的。在 f 13 f13 f13,所有内核的OCAS-EDA/LS的性能都类似。
从这些结果来看,带有径向基函数的OCAS-EDA/LS优于其他三种核。此外,考虑到解的维数较高,径向基核可能是OCAS中的最佳选择。
讨论
我们通过比较有无OCAS策略的行为来评估OCAS在EDA/LS中的有效性。
在每一代,我们通过有无OCAS的EDA/LS生成两个种群。然后,我们计算OCAS选择的解决方案中优于无OCAS策略的EDA/LS选择的解决方案的数量。实验结果见表2。

给定的种群数量是 N = 150 N= 150 N=150。结果表明,OCAS得到的大多数解都优于没有OCAS的算法。
因此,使用OCAS策略有很好的机会获得最佳解决方案来生成新种群。换句话说,OCAS可以过滤不好的解决方案。
我们还研究了OCAS中所采用的OCC模型的效率。我们进行了实验以获得f1和f5的OCC模型的Accuracy Rate,Precision Rate,Recall Rate。
Accuracy Rate是归入真类的解决方案的比率。
Precision Rate表示预测的正解与真实正解的比率。
Recall Rate是解决方案被正确预测的概率。
首先,我们将分类结果定义为四种类别:
true-positive(TP)、true-negative(TN)、false-positive(FP)、false-negative(FN)
T P TP TP表示好的解决方案被正确地归类为有希望的类别。
T N TN TN表示坏的解决方案被正确归类到无希望的类别。
F P FP FP表示坏的解决方案被错误地归类为有希望的类别。
F N FN FN表示好的积极解决方案被错误地归类为没有希望的类别。
然后定义Accuracy Rate,Precision Rate,Recall Rate:
A c c u r a c y R a t e = ( ∣ T P ∣ + ∣ T N ∣ ) / ( ∣ T P ∣ + ∣ T N ∣ + ∣ F P ∣ + ∣ F N ∣ ) Accuracy \quad Rate=(|TP|+|TN|)/(|TP|+|TN|+|FP|+|FN|) AccuracyRate=(∣TP∣+∣TN∣)/(∣TP∣+∣TN∣+∣FP∣+∣FN∣)
P r e c i s i o n R a t e = ∣ T P ∣ + ( ∣ T P ∣ + ∣ F P ∣ ) Precision \quad Rate=|TP|+(|TP|+|FP|) PrecisionRate=∣TP∣+(∣TP∣+∣FP∣)
R e c a l l R a t e = ∣ T P ∣ / ( ∣ T P ∣ + ∣ F N ∣ ) Recall\quad Rate=|TP|/(|TP|+|FN|) RecallRate=∣TP∣/(∣TP∣+∣FN∣)
图7显示了f1和f5每一代的三个比率。图7表明这三个比率是稳定的。OCC模型的Accuracy Rate和Precision Rate在60%左右。Recall Rate在95%左右。这些结果表明OCC模型能够高精度地预测解的类别。本节的实验结果表明,OCC模型在正确预测解的质量方面具有很高的精度。基于该模型,OCAS策略可以有效地为FEs选择有前景的解决方案。

优化时间
我们比较了表3中OCAS-EDA/LS、EDA/LS、OCAS-CoDE和CoDE的平均时间消耗。

结果表明,基于OCAS的算法比原始算法需要更多的时间。EDA/LS及其变体的种群规模大于CoDE及其变体。因此,当实现相同数量的FEs时,EDA/LS及其变体需要的迭代次数较少。与CoDE和OCAS-CoDE相比,EDA/LS和OCAS-EDA需要的时间更少。很明显,在算法中采用机器学习模型会增加CPU时间。对于某些问题,尤其是对于大多数现实世界的应用,FEs的计算成本很高。在这些情况下,每一代建模所需的时间将少于FEs的时间。因此,我们可以使用OCC模型通过显著减少FEs的数量来减少计算时间。
不同群体规模的效率研究
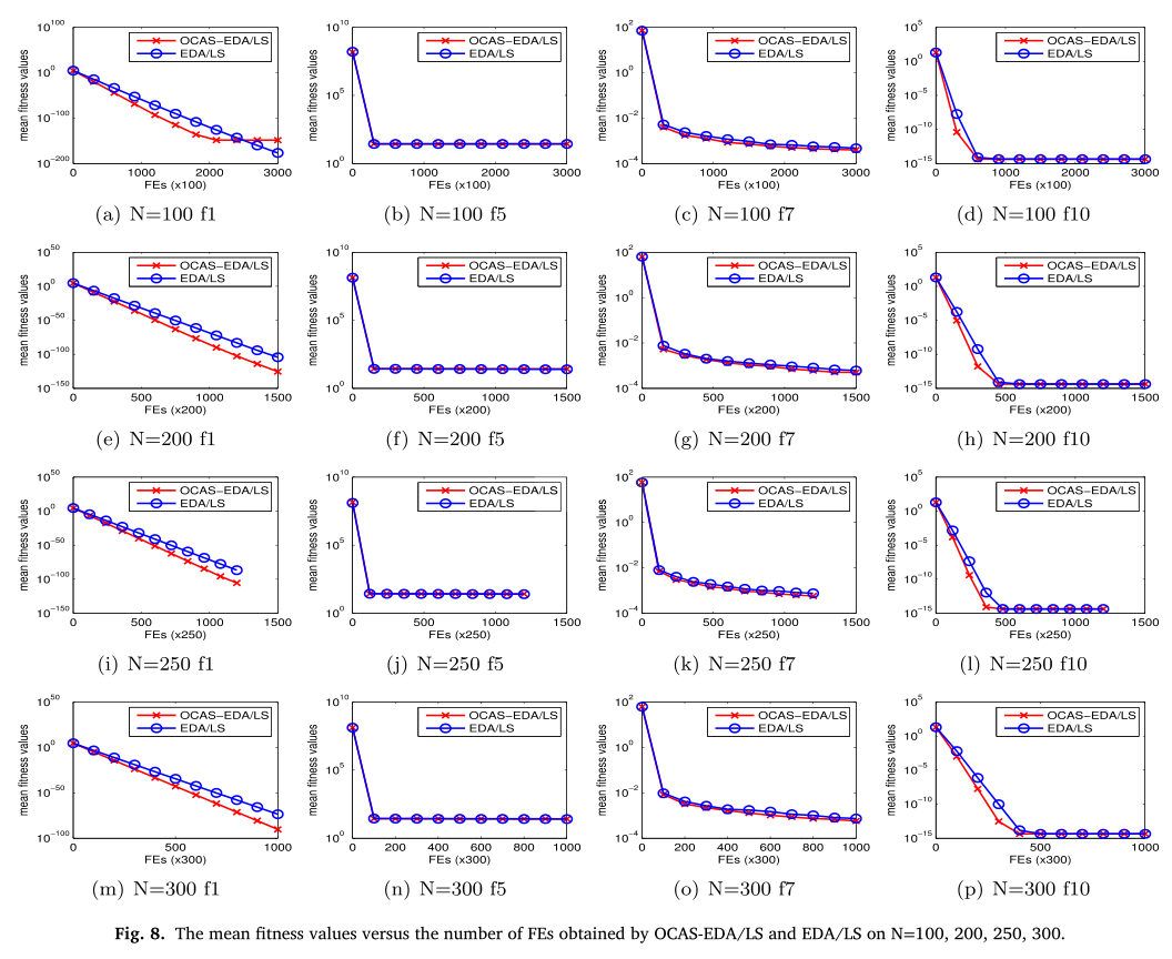
本节研究了不同种群规模N下,OCAS-EDA/LS和EDA/LS的性能我们选择 N = 100 , 200 , 250 , 300 N= 100,200,250,300 N=100,200,250,300进行实验。
图8绘制了当 N = 100 , 200 , 250 , 300 N= 100,200,250,300 N=100,200,250,300时,OCAS-EDA/LS和EDA/LS在 f 1 、 f 5 、 f 7 f1、f5、f7 f1、f5、f7和 f 10 f10 f10上的比较结果。OCAS-EDA/LS和EDA/LS在 f 5 f5 f5上的性能相似。与 N = 100 N= 100 N=100时OCAS-EDA/LS在 f 1 f1 f1上的结果相比,EDA/LS获得了更好的结果,但是收敛速度较慢。在拥有4个种群规模下 f 7 f7 f7和 f 10 f10 f10的结果上,OCAS-EDA/LS的性能均优于EDA/LS。这些实验结果表明OCAS能够在不同的种群规模上提高原始算法的性能。

复杂计算问题的性能研究
在本节中,我们研究了三种不同维度 n = 10 , 30 , 50 n = 10,30,50 n=10,30,50下OCAS-EDA/LS的性能。OCAS-EDA/LS 与双类SVM辅助EDA/LS (BCAS-EDA/LS) 和双类基于SVM的预选辅助EDA/LS (CPS-EDA/LS) 在四个计算量很大的问题(LZG01-LZG04)上进行了比较。实验设置与第4.1节相同。

表4显示:
就适应值中位数而言,当 n = 10 , 30 , 50 n = 10,30,50 n=10,30,50时,OCAS-EDA/LS、BCAS-EDA/LS和CPS-EDA/LS获得最佳解{3、3、3}、{2、3、3}和{2、2、2}。
就平均适应值而言,OCAS-EDA/LS、BCAS-EDA/LS和CPS-EDA/LS在三个维度上获得了最佳解决方案{3,3,3}、{2,3,3}和{2,2,3}。
这些结果表明OCAS-EDA/LS的性能优于BCAS-EDA/LS和CPS-EDA/LS。
表4中的平均等级值显示
当 n = 10 n=10 n=10时,OCAS-EDA/LS具有最佳值,优于其他两种方法。
当 n = 30 n = 30 n=30时,三种算法的性能相似。
当 n = 50 n = 50 n=50时,BCAS-EDA/LS是最好的,OCAS-EDA/LS是第二好的。
这些结果表明OCAS-EDA/LS的性能优于BCAS-EDA/LS和CPS-EDA/LS。实验研究表明,在不同维度的计算代价较高的测试实例上,OCAS策略优于BCAS策略和CPS策略。
在CEC15上的实验结果
在这一节中,我们在CEC15测试套件上研究OCAS。
这15个函数的特征如下:
F 1 、 F 2 F1、F2 F1、F2为单模函数;
F 3 ∼ F 5 F3 \sim F5 F3∼F5是简单的多模函数;
F 6 ∼ F 8 F6\sim F8 F6∼F8是混合型;
F 9 ∼ F 15 F9\sim F15 F9∼F15是组合型。
实验设置与第4.1节相同。

表5显示了实验结果。我们可以看到:
-
对于OCAS- EDA/LS和EDA/LS:
得到相同的适应值时,OCAS- EDA/LS在9个测试实例上需要的FEs比EDA/LS少。
在 F 2 F2 F2函数上,EDA/LS比OCAS-EDA/LS需要更少的FEs。
在 F 3 、 F 5 、 F 6 、 F 8 、 F 15 F3、F5、F6、F8、F15 F3、F5、F6、F8、F15函数上,OCAS-EDA/LS和EDA/LS需要类似的FEs。 -
对于OCAS-CoDE和CoDE:
当达到相同的适应值时,OCAS在10个实例上需要更少的FEs。
在 F 1 F1 F1上,CoDE需要更少的FEs。
在 F 6 , F 10 , F 13 , F 14 F6,F10,F13,F14 F6,F10,F13,F14,OCAS-CoDE和CoDE需要类似的FEs。
本节中的比较研究证实了我们提出的OCAS策略能够在更具挑战性的测试实例中减少FEs的数量。
结论和今后工作
为了提高进化算法的性能,我们提出了一种单类分类辅助选择策略。
在OCAS的示例中
-
首先,当前群体被定义为正训练数据集。
-
接下来,使用正训练数据集来构建单类分类器。
-
然后,使用构建的分类器来预测新生成的子代解的质量。
由于预测的没有希望的解决方案在适应度值评估前被丢弃,FEs的数量会减少。
为了研究OCAS的效率,我们使用EDA/LS和CoDE作为优化器。基于OCAS的算法与原始算法在三种测试套件上进行了比较。统计结果表明,OCAS可以通过减少FEs来显著提高算法性能。
未来可以做一些工作来提高OCAS-EA的效率。这些课题包括:
-
如何提高OCC模型的精度;
-
如何将OCAS与其他进化算法、多目标进化算法结合起来;
-
如何应用OCAS辅助的EAs来解决更多的测试实例和现实应用。
思考
算法中提出了单类分类器使用当前种群作为样本进行训练,得到一个解决方案和标记之间的关系式 l = O C C ( y ) l=OCC(y) l=OCC(y),使用该关系式对子代种群进行初步筛选,这样的做法筛选出的解决方案大多是当前种群的类似解,不利于解决方案的多样性;这种方式可以用于在算法中求一些相似解,来做一些事情。
这篇关于论文阅读:Global optimization with one-class classification-assisted selection的文章就介绍到这儿,希望我们推荐的文章对编程师们有所帮助!