本文主要是介绍论文笔记-When Do GNNs Work: 理解和改进邻域聚合,希望对大家解决编程问题提供一定的参考价值,需要的开发者们随着小编来一起学习吧!
论文标题:When Do GNNs Work: Understanding and Improving Neighborhood Aggregation (IJCAI-20)
论文链接:www.ijcai.org
论文代码:github
更多图神经网络和深度学习内容请关注:

摘要
图神经网络(GNNs)在大量图相关任务中都表现出强大的性能。虽然GNN模型有很多种,但他们都有一个共同点:邻域聚合,邻域聚合中每个节点的嵌入都是通过邻域(这里指的是扩展的领域,即结点本身也是自身的邻居)的嵌入来更新的。
本文旨在通过提出以下问题来更好地理解这一机制:邻域聚合是否总是有必要的和有益的? 简而言之,答案是否定的,我们找出两种情况下邻域聚合是没有帮助的:
(1)当节点的邻域(邻居)高度不相似时;
(2)当节点的嵌入已经与其邻域非常相似时。
为此,我们提出了两个新的度量方法(neighborhood entropy和center-neighbor similarity),可以定量地度量这两种情况,并将它们集成到一个自适应的层模块中。
注:论文中的"我们"等第一人称都指的是论文作者
引言
尽管GNN在多个数据集中取得了巨大成功,但我们观察到,在某些情况下,与无法访问图中边信息的简单FNN(fully-connected neural network)相比,改进是有限的,特别是当聚合度(即聚合轮数,指的是GNN层数)较大时,如表1所示。然后论文认为邻域聚合在某些的情况下是有害的或者是不必要的。
现有的研究表明:深层图神经网络将来自不同簇的节点混合在一起,并将这种现象命名为“过度平滑”。然而现有的研究没有从局部角度(local perspective)考虑不同的聚集度(即聚合的次数,同GCN中的层数)。事实上,如果我们允许聚合度在节点之间变化,那么GNN的性能可以得到显著提高(如表1的最后一行所示)。下一个问题是如何控制单个节点的聚合度?

使用不同聚合度在Cora(3%标签)数据集上进行节点分类的性能。对于按结点聚合(Node-wise Agg),我们手动确定所有节点的聚集度。在这个实验中,我们使用GCN,CNN是一个典型的GNN模型。
为了实现这个目标,我们试图描述对聚合没有帮助的情况 。具体地说,对于单个节点,我们分析了基于其自身及其直接邻域的特征/预测标签的邻域聚合的效用。我们发现:
- 如果中心节点的邻居学习到的特征/标签不一致(具有较高的熵),则进一步的聚合可能会影响性能;
- 当中心节点的学习到的特征/标签与其邻居几乎相同时,不需要进一步的聚合。
对于每一个场景,我们都设计了一个基于信息论的直观的和有原则的度量来进行量化。
为了充分利用我们的度量标准,充分发挥神经网络的潜力,我们设计了一个自适应层模块,其允许单个节点执行不同次数的邻域聚合。具体来说,在训练过程中,我们检查每个节点及其邻居的学习到的标签,通过计算我们的度量来估计邻域聚合是有害的或者不必要的,并且只允许有用的节点进行聚合。循环执行上述过程,直到执行了规定的最大次数的迭代操作,或者所有节点都不允许执行聚合操作。我们进行了广泛的实验,以验证和解释我们提出的方案的优势。
综上所述,我们的主要贡献是:
- 从
局部角度分析了邻域聚合的效用,并给出了例证、理论支持和实验结果; - 提出了两个度量方法(
neighborhood entropy和center-neighbor similarity),定量描述了邻域聚合无益的两种情形; - 将将该指标引入到一种新颖的
自适应层模块的设计中,通过在三个实际网络(数据集)上的大量实验验证了该模块的性能。
基础知识
Graph Neural Networks (GNN)

Simple Graph Convolution (SGC)
SGC[Wuet al.,2019]通过消除层间非线性(指的应该是激活函数)简化了GCN。SGC已被证明具有与GCN相同的性能的同时提高了效率。使用单一线性投影的另一个好处是,SGC中的参数数量不随卷积层数量的增加而增加,从而避免了过拟合现象。SGC模型可以表示为

分析
在本节中,我们从一个案例研究开始,探讨在哪些情况下邻域聚合可能对GNNs没有帮助。GNN更新函数由非线性、线性投影和邻域聚合等操作组成。为了避免引入混淆因素(如过度拟合),我们使用SGC[Wuet al.,2019]作为研究的基础模型。
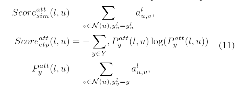
Zachary的空手道俱乐部[Zachary,1977](图1)是一个包含俱乐部成员之间相互作用的经典数据集。俱乐部成员可分为两组:如黄色和蓝色节点所示。

我们从逐渐增加这个数据集上SGC的聚集度(也就是层数)L,从1、3到5,观察信息如何在聚合过程中传播(如下图,L=1、L=3、L=5对应的分别是子图1、2、3)。

当L=1时,初始标记的节点(子图1中的黄色结点)明显突出,信息只传播给其直接邻居(即一跳邻居),不能在所有俱乐部成员之间充分传播。
当L=3时,同一俱乐部之间的预测非常相似,但俱乐部之间的区别仍然比较明显。
当L继续增加(L=5及以上)时,不同类别结点的区别开始模糊,最后所有节点都有相同的预测。这种现象被Liet称为过度平滑(over-smoothing)。
为了获得最佳分类效果,我们需要邻域聚合,但是必须避免过度聚合。 避免过度聚合的关键是防止inter-club,即是防止社区(社区也称为类别)之间(inter-community)的混合,这个混合在聚合操作跨越社区边界(节点13、19、1、2)时发生。 这些节点的主要特征是其邻居具有不同的标签,为此我们提出了第一个度量-邻居熵(neighborhood entropy)。
此外,最佳聚集度因节点而异:当L = 1时,右组(节点32、33、14、29)已经比较肯定地产生了正确的预测,而顶部的节点(节点0、11、12、17)仍然可靠 需要更多的聚合。 对于这些比较肯定地产生了正确的预测节点,进一步的聚合只会增加计算成本,而不会提高性能。 因此,我们得出了第二个度量中心-邻居相似度(center-neighbor similarity)。

第一行:使用SGC的空手道俱乐部数据表上的预测结点标签。节点的颜色显示预测的俱乐部类别。
第二行:计算节点的邻域熵。颜色越深熵越低。
第三行:计算中心邻居相似性。颜色越深,相似性越小。
从左到右:聚合度(也就是模型层数)L= 1;3;5。
初始已标签结点的数量分别是16(带有标签0)和14(带有标签1)
Neighborhood Entropy
邻域聚合(Neighborhood aggregation)利用了网络中的同质效应( homophily effect,论文的同质效应和聚类假设应该是同义),即连接的节点应该是相似的。更进一步说,节点的邻居之间应该是相似的。当邻居是不相似的时,我们将此视为警告:同质效应假设可能不成立,聚合信息可能是噪声。
为了衡量一个特定节点的邻居的多样性,我们计算了邻居之间的熵:

其中 X X X是特征空间, f N ( u ) f^{N(u)} fN(u)是节点 u u u的邻居特征的概率密度函数(PDF)。由于该PDF是高维空间上每个邻居的Dirac函数之和,因此微分熵是不可计算的。
我们使用预测的标签来计算节点 u u u的邻居标签分布并计算其离散熵:

其中 C C C是所有标签类的集合。
如果 S c o r e e t p ( u ) Score_{etp}(u) Scoreetp(u)较大,则节点 u u u邻居的多样性比较大(即节点 u u u邻居不都是同一个类别的)。 对于图1所示的空手道俱乐部数据集,假设正确预测标签时, S c o r e e t p ( 9 ) = 0.673 Score_{etp}(9)= 0.673 Scoreetp(9)=0.673,比 S c o r e e t p ( 6 ) = 0 Score_{etp}(6)= 0 Scoreetp(6)=0大得多,这表明节点9的邻居比节点6的邻居更加多样化。
Center-Neighbor Similarity
当节点的特征与其邻居足够相似时,邻域聚合可能是冗余的 。例如,当L=1时,图2中节点25的标签已经与其所有邻居相同,因此聚合操作不会更改其标签,因此聚合操作是不必要的。
我们通过计算中心节点与其邻居节点之间的逐点互信息(PMI)来描述这种相似性特点,由于我们没有邻居特征的概率分布的先验知识,因此我们假设它遵循均匀分布,这使得P(N(u))为常数。 然后将相似性定义如下:

其中结点
u是中心节点, N ( u ) N(u) N(u)是 u u u的邻居集, f u f_u fu是 u u u的节点特征,该特征可以是节点的输入特征、学习的嵌入或预测的标签。
类似地,我们可以使用one-hot编码预测标签来计算度量

如果 S c o r e s i m ( u ) Score_{sim}(u) Scoresim(u)较大,则节点 u u u与它的邻居 N ( u ) N(u) N(u)更相似。 在这种情况下,我们可以比较邻域聚合前后的性能,并证明预测结果几乎相同,如以下定理1中正式表述的

Putting Metrics to Test
在上文中,我们描述了我们提出的两个度量指标neighborhood entropy和center-neighbor similarity背后的动机和理论分析。当neighborhood entropy或center-neighbor similarity较高时,我们在执行聚合时应该更加谨慎。
我们将建议的度量标准进行测试,如下图的第二行和第三行所示。第二行显示了计算的邻域熵(neighborhood entropy),而更深的颜色意味着较低的熵。从左到右看,高熵节点逐渐从图的顶部转移到中间,并汇聚在应该扮演不同结点类别“看门人”角色(两种类别结点交界处的结点)的节点上。

第三行显示计算出的中心邻域相似度(center-neighbor similarity)。右下组经过1轮聚合后相似度较高,且在整个聚合过程中保持一致。作为比较,左上方的节点最初与其邻居的相似度较低,这表明需要更多的聚合。乍一看,这两行(第二和第三行)可能看起来完全相反,而且这两个指标确实是为处理频谱两端(两个极端)的情况而设计的。可从进一步聚合中受益的节点不属于这两个类别,并且应该具有较低的neighborhood entropy和center-neighbor similarity值。我们可以看到,随着聚合度的增加,属于此类的节点逐渐消失,表明不需要再进行聚合。
模型
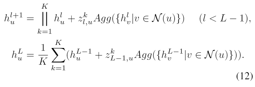
根据前面的分析,我们提出了一个 自适应层模块(Adaptive-layer module),该模块允许节点在每轮邻域聚合中做出单独的决策,因此不同节点可能会有不同的聚合度(即每个结点的聚合次数可能不一样 。
具体来说,在每一层中,我们应用一个门控函数来控制邻域信息的影响。它的值由 S c o r e s i m Score_{sim} Scoresim和 S c o r e e t p Score_{etp} Scoreetp决定。我们使用类似于SGC的方法去除层之间的所有非线性。我们的模块结构如下:

其中 z l , u z_{l,u} zl,u是控制邻域聚合使用的随机变量(门)。
我们的更新操作类似于残差层。 此设计有两个考虑因素:
- 已知残差层可以堆叠更多的层;
- 能够使用相同投影矩阵 W y W_y Wy将隐藏状态 h u l h^l_u hul投影到每一层的标签上
门 z l , u z_{l,u} zl,u是使用以下公式从 S c o r e s i m Score_{sim} Scoresim和 S c o r e e t p Score_{etp} Scoreetp计算得出的

其中激活函数σ将 z z z的值压缩为(0,1)

ALaGCN模型。在第一层中,使用矩阵 W y W_y Wy将输入特征 X X X的维数减少到 h u l h_u^l hul的维数。省略了额外的聚合层.
当 S c o r e s i m Score_{sim} Scoresim和 S c o r e e t p Score_{etp} Scoreetp中的任何一个的值较大时, z z z取接近0的较小值。Norm是一种批量标准化操作,用于重新缩放Score,以便在不同层之间进行比较。
为了简单起见,我们使用one-hot编码的预测标签来计算模型中的 S c o r e s i m Score_{sim} Scoresim和 S c o r e e t p Score_{etp} Scoreetp。由于我们在实践中没有实际类别大小的先验知识,因此我们假设所有label类别的大小都相同。所以label大小是一个常量,不需要计算。
与基于注意力的模型相比,我们可以扩展基础模型来处理邻居的注意力权重

其中 a u , v l a^l_{u,v} au,vl是第l层中node u与node v的注意系数,其计算方法与[Velick-Ovick等人,2017]类似。
我们还可以通过为每个注意头计算不同的z来将我们的度量扩展到multi-head attention,表示为 z l , u k z^k_{l,u} zl,uk

这篇关于论文笔记-When Do GNNs Work: 理解和改进邻域聚合的文章就介绍到这儿,希望我们推荐的文章对编程师们有所帮助!