本文主要是介绍TBtools 绘制Circos图小攻略,希望对大家解决编程问题提供一定的参考价值,需要的开发者们随着小编来一起学习吧!
虽然我是一个计算机出身的生信人,快三十的我还是明显感觉Coding能力大不如从前,逻辑思考力弱爆,但是实验还是要做,论文还是要写,好吧,可以借助一些现成软件,人家一个团队现成东西肯定比我做的好太多了。OK,原谅我的排版,感谢Latex拯救我这个审美不足的小白。
言归正传,先说TBtools,TBtools功能真心强大,可以说是为不想写代码的生物分析需求而生,具体强大的方法我也没有试验,因为目前主要是在做RNAseq分析和病历文本数据处理,习惯用shell或简单在python或R写个脚本,所以具体功能请自行百度,我用TBtools主要原因就是我家老板,看上了一个大牛发表论文里的Circos图,做的无比美观且玄幻,非得让我也画一个给他。。。恩,领导一句话,小兵跑断腿,其实Circos网站有一个在线的软件,还蛮好用具体教程可以参考大牛的笔记。https://www.jianshu.com/p/ddd09650da7d 我因为数据和需求更复杂些,所以千挑万选,最后放弃了熟悉的R包(据说R画的很丑,可能水平问题吧),选择了TBtools。Again,我只用TBtools画CIRCOS图,其他功能,我也希望之后可以进一步开拓。
安装步骤不多说,大牛讲的比我好,成熟的软件就是优秀,兼顾各种操作系统,可以从这里下载:https://github.com/CJ-Chen/TBtools
说起我的CIRCOS图,恩,主要作用就是想构建一个染色体圆环,把我找到的差异表达基因按照染色体位置展示在圆环上,然后根据gene fusion,绘制内部基因之间的关系,具体草图如下:

因为很多试验还在做,具体的gene fusion还不明确,基因关系还需进一步细化,颜色调整可以根据需求(后面会讲到,又难倒了我这种配色无敌差,衣服全靠老公挑的审美白痴了)绘图步骤就开始咯:
写在前面:我因为绘图需求比较简单,就是用了三个.txt(记住,一定是.txt,即使数据存在excel中,也千万复制出来丢进txt中,而且txt文件必须要空格或tab一致对齐,我开始就是吃了格式的大亏),所以,非常建议excel处理数据,复制到txt中再上传绘图。相信我,可以事半功倍。
step1: TBtools绘制Circos主界面
我用的TBtools版本V0.6,选择Graphics->Advanced Circos

界面详解如下:

1:染色体骨架文件,就是画上面草稿图最重要的圈的形成,数据格式要求
有个简便的方法可以获得(我就是这么干的),因为做的是拟南芥基因组,可以直接下载拟南芥基因组数据

利用TBtools的fasta Stater功能,直接提取所需的数据要求

用excel整理染色体数据,复制到.txt即可

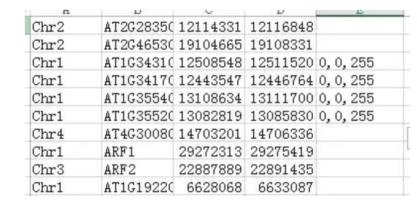
2、基因在染色体上展示(就是草稿图中那些基因)
数据格式要求:

第一列:染色体名称,
第二列:基因名称
第三列:基因在染色体起始位置,第四列:终止位置
第五列(可选):颜色标记(我因为实在对配色不擅长,最后这一列直接删了)
我那时候把我找到的基因(还好不多),一个一个搜出来,把数据从基因组.gtf文件中导入到excel整理的
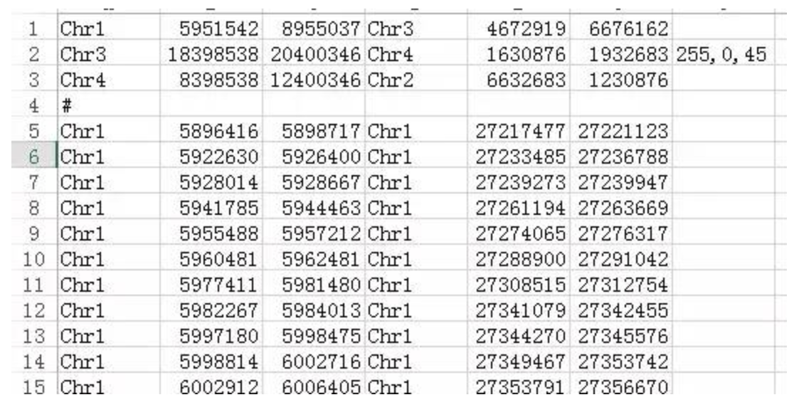
3、基因之间关系展示
数据格式要求如下:

第一列:关联基因1所在染色体,
第二列:基因起始位置,第三列:基因终止位置
第四列:关联基因2所在染色体
第五列:基因起始位置,第六列:基因终止位置
第七列(可选):颜色
然后数据导入Advanced Circosj,点击“show”就可以得到Circos图咯

有点丑对不对,可以点击黄色“show control dialog”进行图片整理

然后,根据自己的需求,随意调整下refresh一下,就OK咯,还是很方便的,虽然老板不太满意,但总算可以交差,就先凑合吧。
之前参考过大牛写的文章,可以更进一步细化图片http://www.360doc.com/content/19/0403/22/52645714_826278061.shtml
这篇关于TBtools 绘制Circos图小攻略的文章就介绍到这儿,希望我们推荐的文章对编程师们有所帮助!