FCOS:全卷积一阶段Anchor Free物体检测器,多种视觉任务的统一框架

本文主要是介绍FCOS:全卷积一阶段Anchor Free物体检测器,多种视觉任务的统一框架,希望对大家解决编程问题提供一定的参考价值,需要的开发者们随着小编来一起学习吧!

点击上方“AI公园”,关注公众号,选择加“星标“或“置顶”


导读

这是众多Anchor Free中比较有影响力的一篇文章,不光是效果好,而且思路清楚,简单,不需要任何trick,并将众多的视觉任务统一到了一个框架中,值得一看。


摘要

这是一篇one stage的anchor free的目标检测的文章,而且是个全卷积的结构。提出了一个非常简单和灵活的物体检测的框架,效果也非常的好。

1. 介绍

基于anchor的物体检测器的缺点,这个基本上每篇anchor free的文章都会列一遍。

  1. 检测性能依赖于anchor的尺寸,比例,数量,这些都需要非常精细的设计。

  2. 一旦anchor设计好了,尺寸,比例就固定了,在物体的尺寸和比例多样性非常大的时候会有困难,特别是小物体。预设的anchor的泛化能力也有限,对于新的任务,需要重新去设计anchor。

  3. 为了有高recall,需要设计非常密集的anchor,FPN中的anchor数量就超过了160k,而且大部分都是负样本,正负样本非常的不均衡。

  4. 在计算的时候需要计算IOU,非常的复杂。

现在的各种计算机视觉的任务,比如分割,深度预测,关键点加测,计数等等,都是全卷积的结构,就物体检测是个例外。那么,很自然的就有了一个问题:我们能不能把物体检测也变成类似分割那样的逐像素的预测问题呢?这样的话,这些视觉相关的任务就都统一成了一个架构了,所以说,这篇文章就是干了这么个事情。

之前也有过类似的尝试,直接再feature map的每个空间位置上回归出一个4D Vector,外加一个类别,不过这些方法在文本检测中用的较多,因为当物体间的包围框重叠比较多的时候,某一个点就不知道去回归哪一个了。如图1:

图1:左边是FCOS预测的4个向量,右边是当特征图的某个位置同时位于两个物体内部的时候,这个位置就不知道去回归哪个物体了。

我们仔细的研究了这个问题,发现使用全卷积的方案是可以很大程度上解决的,后面我们具体去看。我们的新框架的优点如下:

  • 将物体检测和其他视觉任务的框架进行了统一

  • 检测不需要建议区域,也不需要anchor了。

  • 由于不需要anchor了,所以也没有了IOU之类的复杂计算了,训练更快了,所需要的的内存也更少了。

  • 我们得到了STOA的结果,而且FCOS也可以用到二阶段的检测方案中,而且效果比基于anchor的方案更好。我们觉得可以重新考虑下anchor在物体检测中的必要性。

  • 可以非常方便的将检测框架扩展到分割,关键点检测等其他视觉任务上。

2. 方法

2.1 全卷积一阶段物体检测

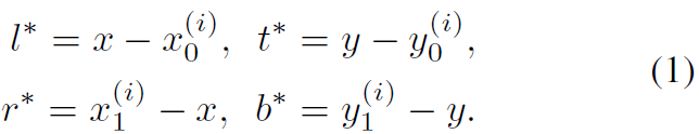
我们把第i层的特征图记做Fi,它相对于输入图像的stride为s,输入图像的groundtruth bbox记为{Bi},Bi=(x0,y0,x1,y1,c),其中(x0,y0)和(x1,y1)分别为左上角和右下角的坐标,c为物体的类别。对于Fi的每个位置(x,y),我们可以映射会输入图像中,映射成一个范围(s/2+xs, s/2+ys),对于基于anchor的物体检测方法,我们把这个位置作为anchor box的中心点,然后去回归目标box相对于这些anchor box的偏差。而我们这里直接在这个位置上回归目标box,换句话说,我们在训练中是把这些位置当成是样本,而不是anchor box,这个和分割是一样。

如果位置(x,y)落入到某个groundtruth box中,而且类别也和groundtruth box的类别一样,那它就是正样本,否则就是负样本,而且c=0(背景)。除了类别标签之外,我们在这个位置上还会回归一个4D的向量,t=(l,t,r,b),其中,l,t,r,b分别是这个位置点到bbox的4个边的距离,如图1(左)所示。如果这个位置同时落入到好几个bbox中,那这种就认为是模糊样本。我们简单的选择一个面积最小的bbox作为它回归的目标。下面,我们会展示一个多level的预测方法,这种模糊样本的数量会大大的减少,这样几乎不会影响检测的性能。这样,如果位置(x,y)和一个bbox Bi相关联起来,那么在训练的时候,我们的回归目标可以这样来表示:

这里值得注意的是,FCOS可以利用任意多的前景样本来训练这个回归,而基于anchor的方法只选取哪些和groundtruth box的IOU大于一定阈值的anchor作为正样本进行训练。我们认为这也许是FCOS效果比anchor based的模型好的原因之一。

网络的输出 对于coco的数据集,有80个类,我们需要输出一个80维的分类向量和一个4维的t=(l,t,r,b),分类的时候,我们没有用多分类的方法,而是训练了C个二分类器,参考了RetinaNet,我们主干feature map后面对于分类和回归分别加了4个卷积层,作为两个不同分支。由于回归的目标值永远是正的,我们用exp(x)将输出映射到(0, ∞)。值得注意的是,FCOS的输出要比基于anchor的方法(使用9个anchor)小了9倍。

损失函数 定义如下:

其中Lcls是focal loss,Lreg是UnitBox中使用的IOU loss,Npos表示正样本的数量,λ用来做loss之间的平衡,文中用的值是1。

推理 推理的时候很直接,我们可以每个位置的类别预测pxy和每个位置的回归预测txy,我们选择p>0.05的作为正样本,将其回归值转化为bbox的预测。

2.2 使用FPN进行多level的预测

这里我们解决了FCOS的两个问题:

  • 在最后的特征图中,大的stride,比如16,对于anchor based检测器,这样会导致较低的best possible recall(BPR),但是对于FCOS,大的stride不会降低BPR,而且,使用了multi-level FPN来预测的话,还可以进一步提升BPR。

  • 重叠的物体会导致模糊匹配,这也可以通过multi-level FPN来很好的解决。

我们用FPN在不同的level上检测不同尺寸的物体,具体结构如图2,

和基于anchor的方法通过在不同的level上设置不同尺寸的anchor的方式,将不同尺寸的物体分配到不同level的特征图上去检测。我们这里更加直接一点,直接对每个level限制物体尺寸的范围。具体来说,我们首先在每个位置上都计算出目标的l,t,r,b,如果max(l,t,r,b) > mi,或者max(l, t, r, b) < mi-1的话,就将这个位置设置为负样本。这里mi是在第i个level上需要去回归的最大距离。这里,我们将m2,m3,m4,m5,m6,m7设置为0,64,128,256,512和∞。这样一来,不同尺寸的物体就被分配到了不同的level的特征图上去进行检测了,由于大部分overlap的都是不一样的尺寸,所以不会出现模糊匹配的问题。如果还是有某个位置匹配到多个groundtruth的情况,那么我们就匹配面积最小的那个。

最后,我们对于不同level的特征图,共享同一个检测头,如图2,但是,由于不同的level回归的是不同的尺寸,共享同一个检测头貌似不是很合理,所以我们又做了点修改,将exp(x)修改为exp(six),加入了一个可训练的尺度参数si,自动的调整exp的输出大小,这个改动对检测性能有小的提升。

2.3 FCOS的Center-ness

我们发现,在训练的时候,会出现大量的距离物体中心点很远的低质量的预测框。这会降低模型的性能。我们用了一个简单有效的方法来抑制这种低质量的预测框。我们加了一个分支来预测位置的center-ness,这个center-ness描述了负责检测这个物体的位置到这个物体的中心的归一化的距离,计算方式如下:

用sqrt来减慢center-ness的衰减,center-ness的范围是0~1,用二分类交叉熵来训练。测试的时候,通过它乘上类别得分来对检测出的bbox进行排序,这样,远离中心的那些预测框的分数会减小,这样做nms的时候,就可以去过滤掉这些检测框,显著提升检测性能。

还有种center-ness的替代方案,就是只使用中心区域作为groundtruth,但是这样需要一个超参数,将这两种方式结合起来,可以得到更好的结果。

3. 实验

3.1 消融实验

3.1.1 使用FPN进行Multi-level的预测

对于BRP的效果:

对模糊样本的影响:

3.1.2 是否使用Center-ness

使用了Center-ness前后的效果:

anchor base的检测器RetinaNet使用了2个阈值来进行正负样本的选择,如果同时使用center-ness和阈值的话,还能提升性能,下面给出了一些额外的优化方法及其效果:

3.1.3 和anchor based的检测器的比较

和RetinaNet的比较见上面的图3。

3.2 和其他的检测器的比较

4. 扩展到RPN上

用FCOS来代替FPN中的RPN网络的效果:

公众号后台回复“fcos”,下载已打包好的论文和代码。

请长按或扫描二维码关注本公众号

喜欢的话,请给我个在看吧

这篇关于FCOS:全卷积一阶段Anchor Free物体检测器,多种视觉任务的统一框架的文章就介绍到这儿,希望我们推荐的文章对编程师们有所帮助!



http://www.chinasem.cn/article/1080738

相关文章

C#利用Free Spire.XLS for .NET复制Excel工作表

《C#利用FreeSpire.XLSfor.NET复制Excel工作表》在日常的.NET开发中,我们经常需要操作Excel文件,本文将详细介绍C#如何使用FreeSpire.XLSfor.NET... 目录1. 环境准备2. 核心功能3. android示例代码3.1 在同一工作簿内复制工作表3.2 在不同

Java 缓存框架 Caffeine 应用场景解析

《Java缓存框架Caffeine应用场景解析》文章介绍Caffeine作为高性能Java本地缓存框架,基于W-TinyLFU算法,支持异步加载、灵活过期策略、内存安全机制及统计监控,重点解析其... 目录一、Caffeine 简介1. 框架概述1.1 Caffeine的核心优势二、Caffeine 基础2

Linux中查看操作系统及其版本信息的多种方法

《Linux中查看操作系统及其版本信息的多种方法》在服务器运维或者部署系统中,经常需要确认服务器的系统版本、cpu信息等,在Linux系统中,有多种方法可以查看操作系统及其版本信息,以下是一些常用的方... 目录1. lsb_pythonrelease 命令2. /etc/os-release 文件3. h

Spring定时任务之fixedRateString的实现示例

《Spring定时任务之fixedRateString的实现示例》本文主要介绍了Spring定时任务之fixedRateString的实现示例,文中通过示例代码介绍的非常详细,对大家的学习或者工作具有... 目录从毫秒到 Duration:为何要改变?核心:Java.time.Duration.parse

Spring Boot中获取IOC容器的多种方式

《SpringBoot中获取IOC容器的多种方式》本文主要介绍了SpringBoot中获取IOC容器的多种方式,包括直接注入、实现ApplicationContextAware接口、通过Spring... 目录1. 直接注入ApplicationContext2. 实现ApplicationContextA

Oracle Scheduler任务故障诊断方法实战指南

《OracleScheduler任务故障诊断方法实战指南》Oracle数据库作为企业级应用中最常用的关系型数据库管理系统之一,偶尔会遇到各种故障和问题,:本文主要介绍OracleSchedul... 目录前言一、故障场景:当定时任务突然“消失”二、基础环境诊断:搭建“全局视角”1. 数据库实例与PDB状态2

Docker多阶段镜像构建与缓存利用性能优化实践指南

《Docker多阶段镜像构建与缓存利用性能优化实践指南》这篇文章将从原理层面深入解析Docker多阶段构建与缓存机制,结合实际项目示例,说明如何有效利用构建缓存,组织镜像层次,最大化提升构建速度并减少... 目录一、技术背景与应用场景二、核心原理深入分析三、关键 dockerfile 解读3.1 Docke

GSON框架下将百度天气JSON数据转JavaBean

《GSON框架下将百度天气JSON数据转JavaBean》这篇文章主要为大家详细介绍了如何在GSON框架下实现将百度天气JSON数据转JavaBean,文中的示例代码讲解详细,感兴趣的小伙伴可以了解下... 目录前言一、百度天气jsON1、请求参数2、返回参数3、属性映射二、GSON属性映射实战1、类对象映

SpringBoot集成XXL-JOB实现任务管理全流程

《SpringBoot集成XXL-JOB实现任务管理全流程》XXL-JOB是一款轻量级分布式任务调度平台,功能丰富、界面简洁、易于扩展,本文介绍如何通过SpringBoot项目,使用RestTempl... 目录一、前言二、项目结构简述三、Maven 依赖四、Controller 代码详解五、Service

Linux系统管理与进程任务管理方式

《Linux系统管理与进程任务管理方式》本文系统讲解Linux管理核心技能,涵盖引导流程、服务控制(Systemd与GRUB2)、进程管理(前台/后台运行、工具使用)、计划任务(at/cron)及常用... 目录引言一、linux系统引导过程与服务控制1.1 系统引导的五个关键阶段1.2 GRUB2的进化优